![]() |
Figure 1:
Diagnostic plots used for the initial estimation of
atmospheric parameters assuming a microturbulence of 5
|
| Open with DEXTER | |
![]() |
Figure 2: An example of the chi-square minimization procedure used to estimate the projected rotational velocity for the star 4755-030. |
| Open with DEXTER | |
![]() |
Figure 3:
Observed and rotationally broadened theoretical
helium line profiles. 4755-033 ( upper panel) and
4755-030 ( lower panel) have estimated values of v sin i of 75 and 330
|
| Open with DEXTER | |
![]() |
Figure 4: Initial estimates of atmospheric parameters for targets in NGC 3293, deduced from the hydrogen and helium equivalent widths. |
| Open with DEXTER | |
![]() |
Figure 5:
The procedure to correct the atmospheric parameter
estimates for stellar rotation is illustrated for a value of
v sin i of 300 km s-1. Plus sign
(+) mark the atmospheric parameters deduced when the effects of rotation
are included. Diamonds symbols
( |
| Open with DEXTER | |
![]() |
Figure 6: Hertzsprung-Russell diagrams for the three clusters, together with evolutionary tracks and isochrones taken from the Geneva database. Stars with estimated gravities of less than 3.9 dex are shown as open circles with higher gravity stars represented by closed circles. |
| Open with DEXTER | |
![]() |
Figure 7: Present day mass functions for the three clusters. |
| Open with DEXTER | |
![]() |
Figure 8: Histograms of projected rotational velocities for each of the three cluster. |
| Open with DEXTER | |
![]() |
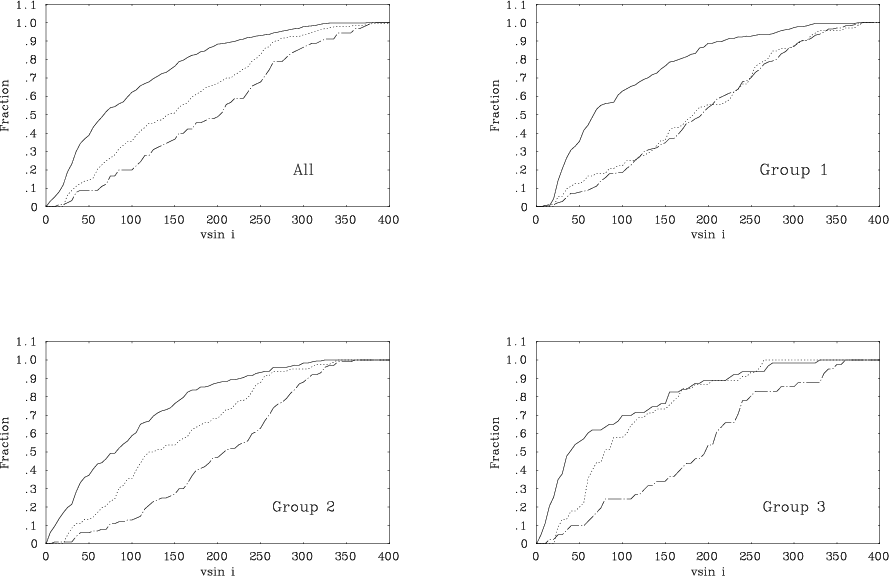
Figure 9:
Cumulative probability function for all targets in
our two older clusters and in h and |
| Open with DEXTER | |
![]() |
Figure 10:
Hertzsprung-Russell diagrams for the h and |
| Open with DEXTER | |
![]() |
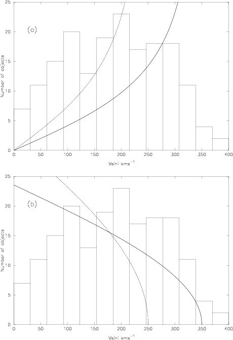
Figure 11:
The histogram of the observed projected rotational
velocities for targets in the clusters NGC 3293 and NGC 4755
is compared with models assuming an intrinsic rotational velocity
distribution of a delta-function a) and a uniform distribution b). The histogram data includes only stars in the mass range 3-15 |
| Open with DEXTER | |
![]() |
Figure 12:
Upper panel:
the histogram of observed projected rotational velocities for targets
in the clusters NGC 3293 and NGC 4755 is compared with the model assuming
a Gaussian distribution of rotational velocities. The Gaussian has a maximum
at a rotational velocity 250
|
| Open with DEXTER | |
![]() |
Figure 13:
Hertzsprung-Russell diagrams for the three clusters together with
rotating stellar evolutionary models from the Geneva group. The symbols are
as in Fig. 6, and all the models have an initial equatorial
rotational velocity of 300
|
| Open with DEXTER | |
![]() |
Figure A.1: VLT-FLAMES targets (open circles) and FEROS targets (open squares) in the NGC 6611 field. |
![]() |
Figure A.2: VLT-FLAMES targets (open circles) and FEROS targets (open squares) in the inner 7' of the NGC 3293 field. |
![]() |
Figure A.3: VLT-FLAMES targets (open circles) and FEROS targets (open squares) in the NGC 3293 field. Most of the objects observed in the inner region are shown separately in Fig. A.2. |
![]() |
Figure A.4: VLT-FLAMES targets (open circles) and FEROS targets (open squares) in the inner 7' of the NGC 4755 field. |
![]() |
Figure A.5: VLT-FLAMES targets (open circles) and FEROS targets (open squares) in the NGC 4755 field. Most of the objects observed in the inner region are shown separately in Fig. A.4. |