Free Access
 

 

Table 2:

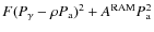
Torsion-rotation parameters needed for the global fit of transitions involving $v_{\rm t} = 0$ and $v_{\rm t} = 1$ torsional energy levels of methyl formate (H12COO12CH3) and torsion-rotation parameters needed for the global fit of transitions involving $v_{\rm t} = 0$ 13C2-methyl formate (HCOO13CH3).
nlma Operatorb Parameter HCOO12CH3c HCOO13CH3d nlm Operator Parameter HCOO12CH3c HCOO13CH3d
220 $(1 - \cos 3 \gamma)/2$ V3 370.924(113) 407.1549(147)g 404 -P4 DJ 0.42854(455)   10-6 0.15312(163)   10-6
  $P_{\gamma}^2$ F 5.49038(129) 5.69168218e   -P2 $P_{\rm a}^2$ DJK -0.19285(527)   10-5 0.21223(170)   10-5
211 $P_{\gamma}$ $P_{\rm a}$ $\rho$ 0.08427127(723) 0.0845207(106)   - $P_{\rm a}^4$ DK 0.36534(594)   10-5 -0.17369(181)   10-5
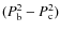
202 $P_{\rm a}^2$ A $^{\rm RAM}$ 0.5884101(188) 0.5857484(245)   -2P2 $(P_{\rm b}^2- P_{\rm c}^2)$ $\delta_J$ 0.17990(227)   10-6 0.39739(813)   10-7
  $P_{\rm b}^2$ $B^{\rm RAM}$ 0.3082455(179) 0.2959971(182)   $-\{P_{\rm a}^2,(P_{\rm b}^2 -
P_{\rm c}^2)\}$ $\delta_K$ 0.28824(900)   10-6 0.108794(621)   10-5
  $P_{\rm c}^2$ $C^{\rm RAM}$ 0.17711843(416) 0.1729010(134)   $P^2 (P_{\rm a}
P_{\rm b} + P_{\rm b} P_{\rm a})$ $D_{{\rm ab}J}$ 0.0f 0.24287(221)   10-6
  $(P_{\rm a} P_{\rm b} + P_{\rm b} P_{\rm a})$ $D_{\rm ab}$ -0.1649794(162) -0.1573691(747)   $(P_{\rm a}^3 P_{\rm b} + P_{\rm b} P_{\rm a}^3)$ $D_{{\rm ab}K}$ 0.20747(108)   10-5 0.13608(491)   10-5
440 $P_{\gamma}^4$ k4 0.0004368(184) 0.0f 642 $(1-\cos
6 \gamma) P^2$ Nv -0.507(127)   10-4 0.0f
  $(1 - \cos 6 \gamma)/2 $ V6 23.9018(636) 0.0f   $(1 - \cos
6 \gamma) (P_{\rm b}^2- P_{\rm c}^2)$ c11 -0.0014751(202) 0.0f
431 $P_{\gamma}^3 P_{\rm a}$ k3 -0.00012758(711) 0.0f   $2
P_{\gamma}^4 (P_{\rm b}^2 - P_{\rm c}^2)$ c3 0.45962(750)   10-6 0.0f
422 $P_{\gamma}^2 P^2$ Gv 0.2709(432)   10-5 0.4682(101)   10-4 624 $(1 - \cos 3 \gamma) P^4$ fv 0.9957(441)   10-7 0.0f
  $2 P_{\gamma}^2 (P_{\rm b}^2- P_{\rm c}^2) $ c1 0.000018117(264) 0.0f   $(1 - \cos 3 \gamma) (P_{\rm b}^2- P_{\rm c}^2) P^2$ c2J 0.5483(445)  10-7 0.0f
  $\sin 3 \gamma (P_{\rm a} P_{\rm c} + P_{\rm c} P_{\rm a})$ $D_{\rm ac}$ -0.0068896(540) -0.0040623(839)   $(1 - \cos 3 \gamma) \{P_{\rm a}^2, (P_{\rm b}^2 - P_{\rm c}^2)\}$ c2K 0.24458(404)   10-6 0.0f
  $(1 - \cos 3 \gamma) P^2$ Fv -0.0025827(184) -0.0007557(425)   $2 P_{\gamma}^2 (P_{\rm b}^2 - P_{\rm c}^2) P^2$ c1J 0.17386(211)   10-8 0.0f
  $(1 - \cos 3 \gamma) P_{\rm a}^2$ k5 0.0112949(386) 0.0124250(566)   $(1 - \cos 3 \gamma) (P_{\rm a} P_{\rm b} + P_{\rm b} P_{\rm a}) P^2$ $d_{{\rm ab}J}$ -0.12488(883)   10-6 0.9060(708)   10-7
  $(1 - \cos 3 \gamma)(P_{\rm b}^2- P_{\rm c}^2)$ c2 0.0012608(253) 0.0f   $(1- \cos 3 \gamma) (P_{\rm a}^3 P_{\rm b} + P_{\rm b} P_{\rm a}^3)$ $d_{{\rm ab}K}$ 0.19649(625)   10-6 0.3349(260)   10-6
  $(1 - \cos 3 \gamma)(P_{\rm a} P_{\rm b} + P_{\rm b} P_{\rm a})$ $d_{\rm ab}$ -0.0063031(176) -0.013852(236)   $(1 - \cos 3 \gamma) P_{\rm a}^2 P^2$ k5J -0.5853(125)   10-6 0.0f
  $P_{\gamma}^2 P_{\rm a}^2$ k2 -0.2837(166)   10-4 0.0f 633 $P_{\gamma}^3 P^2 P_{\rm a}$ k3J 0.7061(198)   10-7 0.0f
  $P_{\gamma}^2 (P_{\rm a} P_{\rm b} + P_{\rm b} P_{\rm a})$ $\Delta_{\rm ab}$ -0.8874(434)   10-5 -0.16792(565)   10-3   $P_{\gamma}^3 P_{\rm a}^3$ k3K -0.8230(461)   10-7 0.0f
  $\sin 3 \gamma (P_{\rm b} P_{\rm c} + P_{\rm c} P_{\rm b})$ $D_{\rm bc}$ 0.0f 0.0010563(383)   $P_{\gamma}^3 \{P_{\rm a}, (P_{\rm b}^2 - P_{\rm c}^2)\}$ c12 -0.6946(110)   10-7 0.0f
413 $P_{\gamma} P_{\rm a} P^2$ Lv 0.3932(110)   10-5 -0.2045(247)   10-5   $P_{\gamma}^3 \{P_{\rm a}^2, P_{\rm b}\}$ $\delta\delta_{\rm ab}$ -0.61998(808)   10-7 0.0f
  $P_{\gamma} P_{\rm a}^3$ k1 -0.000000596(279) 0.0f 606 P6 HJ 0.333(35)   10-12 -0.31(1)   10-13
  $P_{\gamma} \{P_{\rm a},(P_{\rm b}^2 - P_{\rm c}^2)\}$ c4 0.1100(561)   10-6 0.39452(688)   10-5   $P^4 P_{\rm a}^2 $ HJK 0.15998(570)   10-10 0.0f
  $P_{\gamma} \{P_{\rm a}^2, P_{\rm b}\}$ $\delta_{\rm ab}$ -0.10141(145)   10-4 0.1707(107)   10-4   $P^2 P_{\rm a}^4$ HKJ -0.7620(187)   10-10 0.0f
            $P_{\rm a}^6$ HK 0.9098(281)   10-10 0.0f
            $P^2 \{P_{\rm a}^2, (P_{\rm b}^2 - P_{\rm c}^2)\}$ hJK 0.0f 0.1130(25)   10-11
          826 $(1 - \cos 3 \gamma) (P_{\rm b}^2 - P_{\rm c}^2) P^4$ c2JJ 0.1746(201)   10-11 0.0f
          844 2 $P_{\gamma}^4 (P_{\rm b}^2 - P_{\rm c}^2) P^2$ c3J -0.29116(514)   10-10 0.0f
a Notation from Ilyushin et al. (2003); n = l+m, where n is the total order of the operator, l is the order of the torsional part and m is the order of the rotational part. b Notation from Ilyushin et al. (2003). $\{A, B\}=AB+BA$. The product of the parameter and operator from a given row yields the term actually used in the vibration-rotation-torsion Hamiltonian, except for F, $\rho$ and A, which occur in the Hamiltonian in the form $F(P_{\gamma}- \rho P_{\rm a})^2 + A^{\rm RAM} P_{\rm a}^2$. c Values of the parameters in cm-1, except for $\rho$ which is unitless, for the normal species from a fit of $v_{\rm t} = 0$ and $v_{\rm t} = 1$ data (from Carvajal et al. 2007). The 3496 MW lines from $v_{\rm t} = 0$ fit with a standard deviation of 94 kHz and the 774 MW lines from $v_{\rm t} = 1$ fit with a standard deviation of 84 kHz. d Values of the parameters from the present fit for the ground torsional state $v_{\rm t} = 0$ of 13C2 methyl formate. All values are in cm-1, except for $\rho$ which is unitless. Statistical uncertainties are given in parentheses in units of the last quoted digit. e The internal rotation constant F of 13C2 methyl formate was kept fixed to the ab initio value calculated in the equilibrum structure (see Sect. 3.2). f Kept fixed. g Effective value, see text.

Source LaTeX | All tables | In the text

Current usage metrics show cumulative count of Article Views (full-text article views including HTML views, PDF and ePub downloads, according to the available data) and Abstracts Views on Vision4Press platform.

Data correspond to usage on the plateform after 2015. The current usage metrics is available 48-96 hours after online publication and is updated daily on week days.

Initial download of the metrics may take a while.