Free Access
 

 

Table 4:

The photometric and lensing mass measurements of the 57 early-type grade-A lens galaxies of the SLACS survey.

SDSS Name
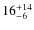
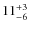
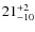
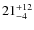
$M_{*}^{{\rm Sal,BC}}$ $M_{*}^{{\rm Sal,M}}$ $M_{*}^{{\rm Cha,BC}}$ $M_{*}^{{\rm Kro,M}}$ fap $M_{*}^{{\rm Sal,BC}}({\le} R_{{\rm Ein}})$ $M_{*}^{{\rm Sal,M}}({\le} R_{{\rm Ein}})$ $M_{*}^{{\rm Cha,BC}}({\le} R_{{\rm Ein}})$ $M_{*}^{{\rm Kro,M}}({\le} R_{{\rm Ein}})$ $M_{{\rm tot}}^{{\rm len}}({\le} R_{{\rm Ein}})$
  (1010 $M_{\odot}$) (1010 $M_{\odot}$) (1010 $M_{\odot}$) (1010 $M_{\odot}$)   (1010 $M_{\odot}$) (1010 $M_{\odot}$) (1010 $M_{\odot}$) (1010 $M_{\odot}$) (1010 $M_{\odot}$)

J0008-0004
$ 48^{+\rm 8}_{- 29}$ $ 40^{+\rm 7}_{- 27}$ $ 28^{+\rm 3}_{- 18}$ $ 22^{+\rm 7}_{- 14}$ 0.40 $ 19^{+\rm 3}_{- 11}$ $ 16^{+\rm 3}_{- 11}$ $ 11^{+\rm 1}_{- 7}$ $ 9^{+\rm 3}_{- 6}$ $ 35\pm 4$
J0029-0055 $ 31^{+\rm 14}_{- 9}$ $ 15^{+\rm 22}_{- 2}$ $ 17^{+\rm 8}_{- 5}$ $ 9^{+\rm 15}_{- 1}$ 0.29 $ 9^{+\rm 4}_{- 3}$ $ 4^{+\rm 6}_{- 1}$ $ 5^{+\rm 2}_{- 1}$ $ 3^{+\rm 4}_{- 1}$ $ 12\pm 1$
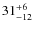
J0037-0942 $ 54^{+\rm 11}_{- 20}$ $ 54^{+\rm 5}_{- 31}$ $ 31^{+\rm 6}_{- 12}$ $ 35^{+\rm 5}_{- 22}$ 0.40 $ 22^{+\rm 4}_{- 8}$ $ 22^{+\rm 2}_{- 13}$ $ 13^{+\rm 2}_{- 5}$ $ 14^{+\rm 2}_{- 9}$ $ 29\pm 3$
J0044+0113 $ 23^{+\rm 11}_{- 6}$ $ 29^{+\rm 4}_{- 19}$ $ 15^{+\rm 5}_{- 6}$ $ 19^{+\rm 3}_{- 13}$ 0.22 $ 5^{+\rm 2}_{- 1}$ $ 6^{+\rm 1}_{- 4}$ $ 3^{+\rm 1}_{- 1}$ $ 4^{+\rm 1}_{- 3}$ $9 \pm 1$
J0109+1500 $ 44^{+\rm 11}_{- 8}$ $ 32^{+\rm 18}_{- 10}$ $ 26^{+\rm 5}_{- 6}$ $ 20^{+\rm 12}_{- 6}$ 0.32 $ 14^{+\rm 4}_{- 3}$ $ 10^{+\rm 6}_{- 3}$ $ 8^{+\rm 2}_{- 2}$ $ 6^{+\rm 4}_{- 2}$ $ 13\pm 1$
J0157-0056 $ 74^{+\rm 10}_{- 31}$ $ 43^{+\rm 23}_{- 13}$ $ 43^{+\rm 4}_{- 19}$ $ 27^{+\rm 15}_{- 8}$ 0.42 $ 31^{+\rm 4}_{- 13}$ $ 18^{+\rm 10}_{- 5}$ $ 18^{+\rm 2}_{- 8}$ $ 11^{+\rm 6}_{- 3}$ $ 26\pm 3$
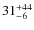
J0216-0813 $ 120^{+\rm 30}_{- 46}$ $ 89^{+\rm 31}_{- 24}$ $ 70^{+\rm 11}_{- 22}$ $ 59^{+\rm 19}_{- 18}$ 0.29 $ 35^{+\rm 9}_{- 13}$ $ 26^{+\rm 9}_{- 7}$ $ 20^{+\rm 3}_{- 6}$ $ 17^{+\rm 5}_{- 5}$ $ 49\pm 5$
J0252+0039 $ 22^{+\rm 2}_{- 10}$ $ 18^{+\rm 3}_{- 12}$ $ 12^{+\rm 2}_{- 5}$ $ 11^{+\rm 2}_{- 7}$ 0.42 $ 9^{+\rm 1}_{- 4}$ $ 8^{+\rm 1}_{- 5}$ $ 5^{+\rm 1}_{- 2}$ $ 5^{+\rm 1}_{- 3}$ $ 18\pm 2$
J0330-0020 $ 52^{+\rm 2}_{- 13}$ $ 42^{+\rm 3}_{- 14}$ $ 29^{+\rm 2}_{- 6}$ $ 27^{+\rm 1}_{- 8}$ 0.48 $ 25^{+\rm 1}_{- 6}$ $ 20^{+\rm 1}_{- 7}$ $ 14^{+\rm 1}_{- 3}$ $ 13^{+\rm 1}_{- 4}$ $ 25\pm 3$
J0405-0455 $ 5^{+\rm 3}_{- 2}$ $ 7^{+\rm 2}_{- 4}$ $ 3^{+\rm 2}_{- 1}$ $ 4^{+\rm 2}_{- 3}$ 0.36 $ 2^{+\rm 1}_{- 1}$ $ 2^{+\rm 1}_{- 1}$ $ 1^{+\rm 1}_{- 1}$ $ 2^{+\rm 1}_{- 1}$ $ 3\pm 1$
J0728+3835 $ 25^{+\rm 12}_{- 3}$ $ 23^{+\rm 15}_{- 7}$ $ 14^{+\rm 8}_{- 1}$ $ 17^{+\rm 8}_{- 8}$ 0.41 $ 10^{+\rm 5}_{- 1}$ $ 9^{+\rm 6}_{- 3}$ $ 6^{+\rm 3}_{- 1}$ $ 7^{+\rm 3}_{- 3}$ $ 20\pm 2$
J0737+3216 $ 91^{+\rm 5}_{- 18}$ $ 74^{+\rm 7}_{- 21}$ $ 52^{+\rm 1}_{- 12}$ $ 50^{+\rm 3}_{- 18}$ 0.25 $ 22^{+\rm 1}_{- 4}$ $ 18^{+\rm 2}_{- 5}$ $ 13^{+\rm 1}_{- 3}$ $ 12^{+\rm 1}_{- 4}$ $ 29\pm 3$
J0822+2652 $ 58^{+\rm 2}_{- 8}$ $ 51^{+\rm 3}_{- 20}$ $ 33^{+\rm 1}_{- 6}$ $ 32^{+\rm 4}_{- 14}$ 0.38 $ 22^{+\rm 1}_{- 3}$ $ 20^{+\rm 1}_{- 8}$ $ 13^{+\rm 1}_{- 2}$ $ 12^{+\rm 2}_{- 5}$ $ 24\pm 2$
J0903+4116 $ 96^{+\rm 4}_{- 33}$ $ 80^{+\rm 6}_{- 31}$ $ 54^{+\rm 3}_{- 22}$ $ 50^{+\rm 4}_{- 23}$ 0.41 $ 40^{+\rm 2}_{- 14}$ $ 33^{+\rm 2}_{- 13}$ $ 22^{+\rm 1}_{- 9}$ $ 21^{+\rm 2}_{- 10}$ $ 45\pm 5$
J0912+0029 $ 73^{+\rm 14}_{- 11}$ $ 77^{+\rm 21}_{- 31}$ $ 43^{+\rm 8}_{- 8}$ $ 49^{+\rm 16}_{- 21}$ 0.28 $ 21^{+\rm 4}_{- 3}$ $ 22^{+\rm 6}_{- 9}$ $ 12^{+\rm 2}_{- 2}$ $ 14^{+\rm 5}_{- 6}$ $ 40\pm 4$
J0935-0003 $ 140^{+\rm 20}_{- 30}$ $ 100^{+\rm 30}_{- 25}$ $ 81^{+\rm 6}_{- 19}$ $ 65^{+\rm 19}_{- 17}$ 0.15 $ 21^{+\rm 3}_{- 5}$ $ 15^{+\rm 5}_{- 4}$ $ 12^{+\rm 1}_{- 3}$ $ 10^{+\rm 3}_{- 3}$ $ 41\pm 4$
J0936+0913 $ 32^{+\rm 9}_{- 7}$ $ 26^{+\rm 21}_{- 11}$ $ 18^{+\rm 5}_{- 4}$ $ 16^{+\rm 14}_{- 6}$ 0.33 $ 11^{+\rm 3}_{- 2}$ $ 9^{+\rm 7}_{- 4}$ $ 6^{+\rm 2}_{- 1}$ $ 5^{+\rm 5}_{- 2}$ $ 15\pm 1$
J0946+1006 $ 41^{+\rm 2}_{- 8}$ $ 35^{+\rm 3}_{- 20}$ $ 24^{+\rm 1}_{- 6}$ $ 23^{+\rm 2}_{- 13}$ 0.36 $ 15^{+\rm 1}_{- 3}$ $ 13^{+\rm 1}_{- 7}$ $ 9^{+\rm 1}_{- 2}$ $ 8^{+\rm 1}_{- 5}$ $ 29\pm 3$
J0956+5100 $ 75^{+\rm 8}_{- 33}$ $ 66^{+\rm 11}_{- 42}$ $ 43^{+\rm 4}_{- 19}$ $ 42^{+\rm 6}_{- 27}$ 0.37 $ 28^{+\rm 3}_{- 12}$ $ 24^{+\rm 4}_{- 15}$ $ 16^{+\rm 1}_{- 7}$ $ 15^{+\rm 2}_{- 10}$ $ 37\pm 4$
J0959+4416 $ 44^{+\rm 9}_{- 10}$ $ 45^{+\rm 1}_{- 27}$ $ 28^{+\rm 1}_{- 7}$ $ 27^{+\rm 3}_{- 16}$ 0.31 $ 14^{+\rm 3}_{- 3}$ $ 14^{+\rm 1}_{- 8}$ $ 9^{+\rm 1}_{- 2}$ $ 8^{+\rm 1}_{- 5}$ $ 17\pm 2$
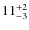
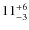
J0959+0410 $ 12^{+\rm 2}_{- 3}$ $ 12^{+\rm 4}_{- 6}$ $ 7^{+\rm 2}_{- 2}$ $ 8^{+\rm 2}_{- 4}$ 0.41 $ 5^{+\rm 1}_{- 1}$ $ 5^{+\rm 2}_{- 2}$ $ 3^{+\rm 1}_{- 1}$ $ 3^{+\rm 1}_{- 2}$ $ 8\pm 1$
J1016+3859 $ 22^{+\rm 5}_{- 6}$ $ 17^{+\rm 12}_{- 4}$ $ 13^{+\rm 3}_{- 3}$ $ 12^{+\rm 7}_{- 4}$ 0.42 $ 9^{+\rm 2}_{- 3}$ $ 7^{+\rm 5}_{- 2}$ $ 5^{+\rm 1}_{- 1}$ $ 5^{+\rm 3}_{- 2}$ $ 15\pm 1$
J1020+1122 $ 37^{+\rm 15}_{- 9}$ $ 30^{+\rm 17}_{- 6}$ $ 24^{+\rm 6}_{- 8}$ $ 18^{+\rm 11}_{- 3}$ 0.42 $ 16^{+\rm 6}_{- 4}$ $ 13^{+\rm 7}_{- 3}$ $ 10^{+\rm 3}_{- 3}$ $ 8^{+\rm 5}_{- 1}$ $ 34\pm 3$
J1023+4230 $ 38^{+\rm 3}_{- 7}$ $ 35^{+\rm 2}_{- 10}$ $ 22^{+\rm 1}_{- 4}$ $ 23^{+\rm 1}_{- 8}$ 0.44 $ 17^{+\rm 1}_{- 3}$ $ 15^{+\rm 1}_{- 4}$ $ 10^{+\rm 1}_{- 2}$ $ 10^{+\rm 1}_{- 4}$ $ 23\pm 2$
J1029+0420 $ 13^{+\rm 5}_{- 4}$ $ 16^{+\rm 3}_{- 8}$ $ 8^{+\rm 4}_{- 3}$ $ 10^{+\rm 2}_{- 5}$ 0.38 $ 5^{+\rm 2}_{- 2}$ $ 6^{+\rm 1}_{- 3}$ $ 3^{+\rm 1}_{- 1}$ $ 4^{+\rm 1}_{- 2}$ $ 6\pm 1$
J1100+5329 $ 58^{+\rm 38}_{- 17}$ $ 31^{+\rm 44}_{- 6}$ $ 40^{+\rm 14}_{- 17}$ $ 20^{+\rm 29}_{- 4}$ 0.40 $ 23^{+\rm 15}_{- 7}$ $ 12^{+\rm 17}_{- 2}$ $ 16^{+\rm 6}_{- 7}$ $ 8^{+\rm 11}_{- 2}$ $ 47\pm 5$
J1106+5228 $ 22^{+\rm 8}_{- 6}$ $ 20^{+\rm 9}_{- 6}$ $ 13^{+\rm 4}_{- 3}$ $ 14^{+\rm 6}_{- 5}$ 0.42 $ 9^{+\rm 3}_{- 2}$ $ 8^{+\rm 4}_{- 2}$ $ 5^{+\rm 2}_{- 1}$ $ 6^{+\rm 2}_{- 2}$ $9 \pm 1$
J1112+0826 $ 63^{+\rm 7}_{- 7}$ $ 59^{+\rm 14}_{- 14}$ $ 36^{+\rm 4}_{- 3}$ $ 39^{+\rm 9}_{- 10}$ 0.50 $ 31^{+\rm 3}_{- 3}$ $ 29^{+\rm 7}_{- 7}$ $ 18^{+\rm 2}_{- 1}$ $ 19^{+\rm 4}_{- 5}$ $ 45\pm 4$
J1134+6027 $ 24^{+\rm 10}_{- 9}$ $ 27^{+\rm 7}_{- 17}$ $ 15^{+\rm 4}_{- 7}$ $ 17^{+\rm 7}_{- 11}$ 0.34 $ 8^{+\rm 3}_{- 3}$ $ 9^{+\rm 2}_{- 6}$ $ 5^{+\rm 1}_{- 2}$ $ 6^{+\rm 2}_{- 4}$ $ 13\pm 1$
J1142+1001 $ 30^{+\rm 12}_{- 6}$ $ 25^{+\rm 15}_{- 5}$ $ 19^{+\rm 6}_{- 6}$ $ 17^{+\rm 9}_{- 4}$ 0.33 $ 10^{+\rm 4}_{- 2}$ $ 8^{+\rm 5}_{- 2}$ $ 6^{+\rm 2}_{- 2}$ $ 6^{+\rm 3}_{- 1}$ $ 17\pm 2$
J1143-0144 $ 37^{+\rm 6}_{- 3}$ $ 40^{+\rm 4}_{- 13}$ $ 22^{+\rm 3}_{- 2}$ $ 26^{+\rm 4}_{- 9}$ 0.24 $ 9^{+\rm 1}_{- 1}$ $ 10^{+\rm 1}_{- 3}$ $ 5^{+\rm 1}_{- 1}$ $ 6^{+\rm 1}_{- 2}$ $ 19\pm 2$
J1153+4612 $ 12^{+\rm 8}_{- 1}$ $ 8^{+\rm 13}_{- 1}$ $ 7^{+\rm 5}_{- 1}$ $ 5^{+\rm 9}_{- 1}$ 0.47 $ 6^{+\rm 4}_{- 1}$ $ 4^{+\rm 6}_{- 1}$ $ 3^{+\rm 3}_{- 1}$ $ 2^{+\rm 4}_{- 1}$ $ 11\pm 1$
J1204+0358 $ 16^{+\rm 5}_{- 4}$ $ 14^{+\rm 9}_{- 3}$ $ 10^{+\rm 2}_{- 2}$ $ 9^{+\rm 6}_{- 2}$ 0.47 $ 8^{+\rm 2}_{- 2}$ $ 7^{+\rm 4}_{- 1}$ $ 5^{+\rm 1}_{- 1}$ $ 4^{+\rm 3}_{- 1}$ $ 17\pm 2$
J1205+4910 $ 50^{+\rm 15}_{- 15}$ $ 53^{+\rm 16}_{- 31}$ $ 29^{+\rm 8}_{- 9}$ $ 33^{+\rm 13}_{- 20}$ 0.31 $ 15^{+\rm 5}_{- 5}$ $ 16^{+\rm 5}_{- 10}$ $ 9^{+\rm 2}_{- 3}$ $ 10^{+\rm 4}_{- 6}$ $ 25\pm 3$
J1213+6708 $ 35^{+\rm 10}_{- 8}$ $ 37^{+\rm 11}_{- 15}$ $ 21^{+\rm 5}_{- 4}$ $ 23^{+\rm 9}_{- 9}$ 0.29 $ 10^{+\rm 3}_{- 2}$ $ 11^{+\rm 3}_{- 4}$ $ 6^{+\rm 1}_{- 1}$ $ 7^{+\rm 3}_{- 3}$ $14 \pm 1$
J1218+0830 $ 35^{+\rm 11}_{- 7}$ $ 40^{+\rm 8}_{- 17}$ $ 21^{+\rm 6}_{- 4}$ $ 26^{+\rm 6}_{- 12}$ 0.30 $ 10^{+\rm 3}_{- 2}$ $ 12^{+\rm 2}_{- 5}$ $ 6^{+\rm 2}_{- 1}$ $ 8^{+\rm 2}_{- 4}$ $ 16\pm 2$
J1250+0523 $ 50^{+\rm 12}_{- 15}$ $ 48^{+\rm 4}_{- 30}$ $ 29^{+\rm 5}_{- 7}$ $ 28^{+\rm 7}_{- 16}$ 0.38 $ 19^{+\rm 5}_{- 6}$ $ 18^{+\rm 2}_{- 11}$ $ 11^{+\rm 2}_{- 3}$ $ 11^{+\rm 3}_{- 6}$ $ 18\pm 2$
J1402+6321 $ 65^{+\rm 10}_{- 9}$ $ 64^{+\rm 22}_{- 25}$ $ 37^{+\rm 7}_{- 5}$ $ 42^{+\rm 14}_{- 18}$ 0.32 $ 21^{+\rm 3}_{- 3}$ $ 21^{+\rm 7}_{- 8}$ $ 12^{+\rm 2}_{- 2}$ $ 13^{+\rm 4}_{- 6}$ $ 29\pm 3$
J1403+0006 $ 23^{+\rm 7}_{- 8}$ $ 24^{+\rm 4}_{- 15}$ $ 14^{+\rm 3}_{- 6}$ $ 14^{+\rm 4}_{- 8}$ 0.35 $ 8^{+\rm 2}_{- 3}$ $ 8^{+\rm 1}_{- 5}$ $ 5^{+\rm 1}_{- 2}$ $ 5^{+\rm 1}_{- 3}$ $ 10\pm 1$
J1416+5136 $ 56^{+\rm 3}_{- 11}$ $ 46^{+\rm 4}_{- 15}$ $ 32^{+\rm 1}_{- 7}$ $ 31^{+\rm 2}_{- 10}$ 0.49 $ 27^{+\rm 1}_{- 5}$ $ 22^{+\rm 2}_{- 7}$ $ 16^{+\rm 1}_{- 3}$ $ 15^{+\rm 1}_{- 5}$ $ 37\pm 4$
J1420+6019 $ 12^{+\rm 5}_{- 4}$ $ 10^{+\rm 7}_{- 3}$ $ 7^{+\rm 3}_{- 2}$ $ 7^{+\rm 5}_{- 2}$ 0.32 $ 4^{+\rm 2}_{- 1}$ $ 3^{+\rm 2}_{- 1}$ $ 2^{+\rm 1}_{- 1}$ $ 2^{+\rm 1}_{- 1}$ $ 4\pm 1$
J1430+4105 $ 56^{+\rm 8}_{- 18}$ $ 39^{+\rm 16}_{- 22}$ $ 32^{+\rm 4}_{- 11}$ $ 29^{+\rm 6}_{- 18}$ 0.36 $ 20^{+\rm 3}_{- 7}$ $ 14^{+\rm 6}_{- 8}$ $ 12^{+\rm 1}_{- 4}$ $ 11^{+\rm 2}_{- 7}$ $ 54\pm 5$
J1436-0000 $ 55^{+\rm 16}_{- 21}$ $ 25^{+\rm 38}_{- 4}$ $ 32^{+\rm 8}_{- 13}$ $ 16^{+\rm 24}_{- 3}$ 0.32 $ 18^{+\rm 5}_{- 7}$ $ 8^{+\rm 12}_{- 1}$ $ 10^{+\rm 3}_{- 4}$ $ 5^{+\rm 8}_{- 1}$ $ 23\pm 2$
J1443+0304 $ 13^{+\rm 4}_{- 6}$ $ 12^{+\rm 7}_{- 5}$ $ 7^{+\rm 2}_{- 3}$ $ 8^{+\rm 5}_{- 4}$ 0.46 $ 6^{+\rm 2}_{- 3}$ $ 6^{+\rm 3}_{- 2}$ $ 3^{+\rm 1}_{- 1}$ $ 4^{+\rm 2}_{- 2}$ $ 6\pm 1$
J1451-0239 $ 29^{+\rm 6}_{- 14}$ $ 28^{+\rm 12}_{- 14}$ $ 18^{+\rm 2}_{- 10}$ $ 19^{+\rm 8}_{- 10}$ 0.28 $ 8^{+\rm 2}_{- 4}$ $ 8^{+\rm 3}_{- 4}$ $ 5^{+\rm 1}_{- 3}$ $ 5^{+\rm 2}_{- 3}$ $ 8\pm 1$
J1525+3327 $ 110^{+\rm 10}_{- 33}$ $ 86^{+\rm 8}_{- 28}$ $ 59^{+\rm 6}_{- 16}$ $ 57^{+\rm 3}_{- 15}$ 0.30 $ 33^{+\rm 3}_{- 10}$ $ 26^{+\rm 2}_{- 8}$ $ 18^{+\rm 2}_{- 5}$ $ 17^{+\rm 1}_{- 4}$ $ 48\pm 5$
J1531-0105 $ 48^{+\rm 9}_{- 8}$ $ 48^{+\rm 15}_{- 16}$ $ 29^{+\rm 5}_{- 5}$ $ 30^{+\rm 11}_{- 10}$ 0.40 $ 19^{+\rm 4}_{- 3}$ $ 19^{+\rm 6}_{- 6}$ $ 12^{+\rm 2}_{- 2}$ $ 12^{+\rm 4}_{- 4}$ $ 27\pm 3$
J1538+5817 $ 20^{+\rm 1}_{- 4}$ $ 17^{+\rm 2}_{- 6}$ $ 11^{+\rm 1}_{- 1}$ $ 11^{+\rm 1}_{- 4}$ 0.38 $ 8^{+\rm 1}_{- 2}$ $ 6^{+\rm 1}_{- 2}$ $ 4^{+\rm 1}_{- 1}$ $ 4^{+\rm 1}_{- 2}$ $9 \pm 1$
J1621+3931 $ 60^{+\rm 8}_{- 19}$ $ 53^{+\rm 6}_{- 16}$ $ 34^{+\rm 4}_{- 10}$ $ 37^{+\rm 1}_{- 15}$ 0.37 $ 22^{+\rm 3}_{- 7}$ $ 19^{+\rm 2}_{- 6}$ $ 12^{+\rm 1}_{- 4}$ $ 14^{+\rm 1}_{- 5}$ $ 29\pm 3$
J1627-0053 $ 37^{+\rm 6}_{- 7}$ $ 28^{+\rm 18}_{- 7}$ $ 21^{+\rm 4}_{- 3}$ $ 18^{+\rm 12}_{- 5}$ 0.37 $ 14^{+\rm 2}_{- 3}$ $ 10^{+\rm 7}_{- 3}$ $ 8^{+\rm 1}_{- 1}$ $ 7^{+\rm 4}_{- 2}$ $ 23\pm 2$
J1630+4520 $ 71^{+\rm 3}_{- 8}$ $ 63^{+\rm 3}_{- 13}$ $ 40^{+\rm 1}_{- 4}$ $ 40^{+\rm 2}_{- 11}$ 0.47 $ 34^{+\rm 1}_{- 4}$ $ 30^{+\rm 1}_{- 6}$ $ 19^{+\rm 1}_{- 2}$ $ 19^{+\rm 1}_{- 5}$ $ 49\pm 5$
J1636+4707 $ 27^{+\rm 8}_{- 5}$ $ 21^{+\rm 12}_{- 4}$ $ 16^{+\rm 4}_{- 4}$ $ 13^{+\rm 10}_{- 2}$ 0.38 $ 10^{+\rm 3}_{- 2}$ $ 8^{+\rm 5}_{- 2}$ $ 6^{+\rm 2}_{- 2}$ $ 5^{+\rm 4}_{- 1}$ $ 18\pm 2$
J2238-0754 $ 24^{+\rm 9}_{- 9}$ $ 27^{+\rm 8}_{- 13}$ $ 14^{+\rm 5}_{- 5}$ $ 18^{+\rm 6}_{- 9}$ 0.34 $ 8^{+\rm 3}_{- 3}$ $ 9^{+\rm 3}_{- 4}$ $ 5^{+\rm 2}_{- 2}$ $ 6^{+\rm 2}_{- 3}$ $ 13\pm 1$
J2300+0022 $ 45^{+\rm 2}_{- 7}$ $ 37^{+\rm 6}_{- 14}$ $ 24^{+\rm 2}_{- 4}$ $ 24^{+\rm 3}_{- 10}$ 0.40 $ 18^{+\rm 1}_{- 3}$ $ 15^{+\rm 2}_{- 6}$ $ 10^{+\rm 1}_{- 2}$ $ 10^{+\rm 1}_{- 4}$ $ 30\pm 3$
J2303+1422 $ 53^{+\rm 10}_{- 5}$ $ 57^{+\rm 8}_{- 18}$ $ 31^{+\rm 5}_{- 3}$ $ 37^{+\rm 8}_{- 13}$ 0.32 $ 17^{+\rm 3}_{- 2}$ $ 18^{+\rm 3}_{- 6}$ $ 10^{+\rm 2}_{- 1}$ $ 12^{+\rm 3}_{- 4}$ $ 27\pm 3$
J2321-0939 $ 41^{+\rm 11}_{- 7}$ $ 44^{+\rm 11}_{- 16}$ $ 24^{+\rm 9}_{- 4}$ $ 29^{+\rm 8}_{- 10}$ 0.26 $ 11^{+\rm 3}_{- 2}$ $ 12^{+\rm 3}_{- 4}$ $ 6^{+\rm 2}_{- 1}$ $ 8^{+\rm 2}_{- 3}$ $ 12\pm 1$
J2341+0000 $ 55^{+\rm 8}_{- 20}$ $ 48^{+\rm 18}_{- 32}$ $ 31^{+\rm 5}_{- 14}$ $ 32^{+\rm 12}_{- 22}$ 0.30 $ 16^{+\rm 2}_{- 6}$ $ 14^{+\rm 5}_{- 10}$ $ 9^{+\rm 1}_{- 4}$ $ 10^{+\rm 4}_{- 7}$ $ 22\pm 2$

Source LaTeX | All tables | In the text

Current usage metrics show cumulative count of Article Views (full-text article views including HTML views, PDF and ePub downloads, according to the available data) and Abstracts Views on Vision4Press platform.

Data correspond to usage on the plateform after 2015. The current usage metrics is available 48-96 hours after online publication and is updated daily on week days.

Initial download of the metrics may take a while.