Free Access
   

Table 1:

Observations log of IGRJ16479-4514 (see note at the bottom of the table for other specifications).

OBS ID
INSTR START TIME STOP TIME EXP $N_{\rm H}$ $\Gamma$ $F_{\rm obs}$ $\chi^2_{\rm red}$/d.o.f.
(2009)       (s) (1022 cm-2)   (erg/cm2/s) (C-stat/d.o.f.)

00341452000
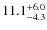
BAT 2009-01-29 06:26:12 2009-01-29 07:56:43 1.6E+03 - $2.5^{\rm +0.3}_{-0.3}$ $2.55 \times 10^{-9}$ 0.9/27
  XRT/WT 2009-01-29 06:46:53 2009-01-29 08:16:49 - - - - -
  XRT/PC 2009-01-29 06:47:35 2009-01-29 08:39:04 2.6E+03 $4.7^{\rm +1.3}_{-1.1}$ $1.0^{\rm +0.3}_{-0.3}$ $1.0^{\rm +0.1}_{-0.2}\times 10^{-10}$ 1.1/44
00030296077 XRT/PC 2009-01-29 15:59:44 2009-01-29 22:36:24 5.9E+03 $5.7^{\rm +1.7}_{-1.5}$ $1.6^{\rm +0.4}_{-0.4}$ $4.1^{\rm +0.2}_{-1.6}\times10^{-11}$ 1.2/33
00030296078 XRT/PC 2009-01-30 05:05:45 2009-01-30 07:01:56 2.5E+03 $9.3^{\rm +3.6}_{-3.2}$ $1.5^{\rm +0.7}_{-0.6}$ $3.1^{\rm +0.3}_{-1.8}\times10^{-11}$ 1.2/21
00030296079 XRT/PC 2009-01-31 00:23:45 2009-01-31 02:17:58 1.4E+03 9.3 (fixed) 1.5 (fixed) $3.8^{\rm +0.8}_{-0.8}\times10^{-12}$ -
00030296080 XRT/PC 2009-02-01 19:50:46 2009-02-01 21:30:57 2.0E+03 9.3 (fixed) 1.5 (fixed) $4.5^{\rm +0.7}_{-0.7}\times 10^{-12}$ -
00030296081 XRT/PC 2009-02-02 08:46:12 2009-02-02 11:40:57 1.9E+03 9.3 (fixed) 1.5 (fixed) $3.4^{\rm +0.7}_{-0.7}\times 10^{-12}$ -
00030296082 XRT/PC 2009-02-03 18:25:48 2009-02-03 21:49:58 1.2E+03 9.3 (fixed)a 1.5 (fixed)a $2.1\times 10^{-12}$ --
00030296083 XRT/PC 2009-02-04 00:51:50 2009-02-04 04:09:56 1.4E+03 9.3 (fixed) 1.5 (fixed) $1.1^{\rm +0.5}_{-0.5}\times10^{-12}$ -
00030296084 XRT/PC 2009-02-05 02:24:25 2009-02-05 02:50:30 1.5E+03 9.3 (fixed) 1.5 (fixed) $1.2^{\rm +0.2}_{-0.2}\times10^{-11}$ -
00030296085 XRT/PC 2009-02-06 01:13:12 2009-02-06 04:28:57 4.7E+02 9.3 (fixed) 1.5 (fixed) $1.5^{\rm +0.3}_{-0.3}\times10^{-11}$ -
00030296087 XRT/PC 2009-02-08 18:54:08 2009-02-08 22:15:57 1.6E+03 $6.9^{\rm +2.7}_{-2.4}$ $1.1^{\rm +0.6}_{-0.5}$ $1.7^{\rm +0.1}_{-0.1}\times10^{-10}$ 0.9/26
00030296088 XRT/PC 2009-02-10 03:10:18 2009-02-10 08:06:57 1.5E+03 6.9 (fixed)a 1.2 (fixed)a $1.6\times 10^{-12}$ -
00030296089 XRT/PC 2009-02-11 15:47:39 2009-02-11 22:38:57 2.2E+03 $10.6^{\rm +2.8}_{-2.4}$ $2.1^{\rm +0.6}_{-0.5}$ $6.4^{\rm +0.4}_{-0.2}\times10^{-11}$ 0.9/27
00030296090 XRT/PC 2009-02-12 22:30:18 2009-02-13 00:20:56 1.7E+03 10.6 (fixed) 2.1 (fixed) $1.1^{\rm +0.4}_{-0.4}\times10^{-12}$ -
00030296091 XRT/PC 2009-02-13 05:04:18 2009-02-13 06:45:54 1.3E+03 10.6 (fixed) 2.1 (fixed) $1.1^{\rm +0.5}_{-0.5}\times10^{-12}$ -
00030296092 XRT/PC 2009-02-14 06:34:01 2009-02-14 08:18:56 1.3E+03 $8.3^{\rm +6.8}_{-5.2}$ $1.0^{\rm +1.2}_{-1.1}$ $2.0^{\rm +0.5}_{-1.4}\times10^{-11}$ (26.46/24)b
00030296093 XRT/PC 2009-02-15 03:19:41 2009-02-15 03:39:57 1.2E+03 8.3 (fixed) 1.0 (fixed) $4.0^{\rm +0.9}_{-0.9}\times10^{-12}$ -
00030296094 XRT/PC 2009-02-16 08:26:29 2009-02-16 10:14:42 1.1E+03 $11.1^{\rm +6.0}_{-4.3}$ $2.1^{\rm +1.1}_{-1.0}$ $1.9^{\rm +0.3}_{-1.4}\times10^{-11}$ (23.41/29)b
00030296095 XRT/PC 2009-02-17 00:22:55 2009-02-17 00:38:50 9.5E+02 11.1 (fixed)a 2.1 (fixed)a $1.3\times 10^{-12}$ -

OBS ID
INSTR START TIME STOP TIME EXP $N_{\rm H}$ $\Gamma$ $F_{\rm obs}$ $\chi^2_{\rm red}$/d.o.f.
(2008)       (s) (1022 cm-2)   (erg/cm2/s) (C-stat/d.o.f.)

00306829000
BAT 2008-03-19 22:42:48 2008-03-19 22:56:50 6.3E+02 - $2.8^{\rm +0.1}_{-0.1}$ $6.6\times 10^{-9}$ 1.5/27
  XRT/WT 2008-03-19 22:46:47 2008-03-19 23:55:26 9.1E+02 $6.0^{\rm +0.3}_{-0.3}$ $1.1^{\rm +0.1}_{-0.1}$ $4.4^{\rm +0.1}_{-0.1}\times 10^{-9}$ 1.1/284
  XRT/PC 2008-03-19 23:55:27 2008-03-20 00:00:53 3.2E+02 6.0 (fixed) 1.1 (fixed) $6.7^{\rm +0.9}_{-0.7}\times 10^{-11}$ -
00030296030 XRT/PC 2008-03-21 02:05:29 2008-03-21 03:48:58 8.1E+02 6.0 (fixed) 1.1 (fixed) $8.9^{\rm +1.9}_{-1.9}\times 10^{-12}$ -
00030296031 XRT/PC 2008-03-21 21:22:28 2008-03-21 23:05:57 8.2E+02 6.0 (fixed) 1.1 (fixed) $4.7^{\rm +3.7}_{-3.7}\times 10^{-13}$ -
00030296032 XRT/PC 2008-03-23 05:25:03 2008-03-23 05:35:30 6.0E+02 6.0 (fixed) 1.1 (fixed) $3.5^{\rm +1.1}_{-1.1}\times 10^{-12}$ -
00030296033 XRT/PC 2008-03-24 05:36:51 2008-03-24 06:50:56 1.0E+03 $12.2^{\rm +8.8}_{-7.5}$ $1.7^{\rm +1.3}_{-1.2}$ $2.6^{\rm +0.1}_{-2.0}\times 10^{-11}$ (30.9/37)b
00030296034 XRT/PC 2008-04-10 15:17:37 2008-04-10 20:10:57 8.8E+02 12.2 (fixed)a 1.7 (fixed)a $3.2\times 10^{-12}$ -

OBS ID
INSTR START TIME STOP TIME EXP $N_{\rm H}$ $\Gamma$ $F_{\rm obs}$ $\chi^2_{\rm red}$/d.o.f.
(2005)       (s) (1022 cm-2)   (erg/cm2/s) (C-stat/d.o.f.)

00152652000
BAT 2005-08-30 04:03:49 2005-08-30 04:13:51 6.3E+02 - $2.0^{\rm +0.7}_{-0.7}$ $2.7 \times 10^{-9}$c 1.2/14
00030296001 XRT/PC 2005-08-30 04:12:41 2005-09-01 14:01:58 1.1E+04 $6.3^{\rm +1.4}_{-1.2}$ $1.0^{\rm +0.3}_{-0.3}$ $3.3^{\rm +0.3}_{-2.2}\times10^{-11}$ 0.9/44
  XRT/WT 2005-08-30 04:11:00 2005-09-01 13:40:51 4.5E+03 $6.0^{\rm +3.0}_{-2.2}$ $1.2^{\rm +0.6}_{-0.5}$ $2.2^{\rm +0.3}_{-0.2}\times10^{-11}$ 0.9/33
00030296002 XRT/PC 2005-09-10 00:15:00 2005-09-12 12:10:59 6.3E+03 $9.7^{\rm +3.6}_{-2.8}$ $1.2^{\rm +0.6}_{-0.5}$ $5.2^{\rm +0.2}_{-3.0}\times10^{-11}$ 1.9/27
00030296003 XRT/PC 2005-09-14 00:43:34 2005-09-14 10:47:57 4.2E+03 9.7 (fixed) 1.2 (fixed) $5.7^{\rm +1.0}_{-1.0}\times 10^{-13}$ -
Note: spectra extracted from these observations are fit with an absorbed power law (absorption column density $N_{\rm H}$ and photon index $\Gamma$). $F_{\rm obs}$ is the. XRT/PC or XRT/WT (BAT) absorbed flux in the 0.3-10 keV (15-80 keV) energy band. EXP indicates the total exposure time of each observation.
(Swift observations comprise several snapshots and are not continuous pointings at the source). a 3$\sigma $ upper limit. b C-statistic has been used to fit the spectrum. c In this case the BAT flux is in the energy range 15-50 keV.

Source LaTeX | All tables | In the text

Current usage metrics show cumulative count of Article Views (full-text article views including HTML views, PDF and ePub downloads, according to the available data) and Abstracts Views on Vision4Press platform.

Data correspond to usage on the plateform after 2015. The current usage metrics is available 48-96 hours after online publication and is updated daily on week days.

Initial download of the metrics may take a while.