Free Access
 

 

Table 10:

Photometric parameters of detached system ES Cnc.
Parameter van den Berg et al. (2001) Sandquist et al. (2003) Pribulla et al. (2008) Present study
i ${({^\circ})}$ 64(1) 68(1) 66.2 68.3(2.8)
$\Omega_1$ - - 3.532 4.12(21)
$\Omega_2$ - - 3.922 4.67(36)
a ( ${R}{_\odot}$) 7.2(4) -   6.629(144)
q 0.63(4) - 0.68 0.777(16)
$V_\gamma$ 0.63(4) -   11(1)
TAa (K) 6480(25) 7325(50) 7325 7325(50)
TAb (K) 5450(40) 6000(200) 5543 5975(200)
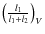
$\left(\frac{l_1}{l_1 +l_2}\right)_V$ - -   0.82
$\left(\frac{l_3}{l_{\rm total}}\right)_V$ - - 0.68 0.42(15)
$\bar{r}_{1}$ - -   0.309(21)
$\bar{r}_{2}$ - -   0.222(18)
Spot parameters (spots on cool star):        
Colatitude ${({^\circ})}$       92, 135
Longitude ${({^\circ})}$     179.9, 296.6 328, 57
Spot radius ${({^\circ})}$     11.5, 12.5 33, 30
Spot temperature ( $T_{\rm spot}/T_{\rm star}$)     0.80, 0.80 0.83, 0.83
rms       0.175

Source LaTeX | All tables | In the text

Current usage metrics show cumulative count of Article Views (full-text article views including HTML views, PDF and ePub downloads, according to the available data) and Abstracts Views on Vision4Press platform.

Data correspond to usage on the plateform after 2015. The current usage metrics is available 48-96 hours after online publication and is updated daily on week days.

Initial download of the metrics may take a while.