Free Access
 

 

Table 1:

Results from fitting theoretical density profiles to the measured shear values, where each subheadline indicates the cluster centre around which the fitting was done.
BCG Abell 1351 Abell 1995 SS01a $\kappa $ map Abell 1351 Abell 1995
SIS [ $\chi^2/\;{\rm d.o.f.}$] 1.60 1.70 SIS [ $\chi^2/\;{\rm d.o.f.}$] 1.44 1.14
$\theta_{\rm E}$ [ $\hbox{$^{\prime\prime}$ }$] $16.2{+2.3\atop-2.4}$ $12.2\pm2.6$ $\theta_{\rm E}$ [ $\hbox{$^{\prime\prime}$ }$] $15.0{+2.5\atop-2.3}$ $12.0{+2.5\atop-2.8}$
$\sigma_v$ [ ${\rm km\;s}^{-1}$] $1040{+70\atop-80}$ $900{+90\atop-100}$ $\sigma_v$ [ ${\rm km\;s}^{-1}$] $1000\pm80$ $890{+90\atop-110}$
$M_{\rm SIS}$ [ $10^{14}~h_{70}^{-1}~M_\odot$] $8.7{+1.3\atop-1.4}$ $5.8{+1.2\atop-1.3}$ $M_{\rm SIS}$ [ $10^{14}~h_{70}^{-1}~M_\odot$] $7.8{+1.3\atop-1.4}$ $5.5{+1.3\atop-1.4}$
NFW [ $\chi^2/\;{\rm d.o.f.}$] 1.32 1.64 NFW [ $\chi^2/\;{\rm d.o.f.}$] 1.12 1.11
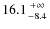
c $9.1{+\infty\atop-4.6}$ $5.2{+\infty\atop-3.4}$ c $16.1{+\infty\atop-8.4}$ $3.0{+9.0\atop-1.9}$
r200 [ $h_{70}^{-1}\;{\rm Mpc}$] $1.73{+0.13\atop-0.10}$ $1.53{+0.17\atop-0.13}$ r200 [ $h_{70}^{-1}\;{\rm Mpc}$] $1.69{+0.10\atop-0.11}$ $1.50{+0.20\atop-0.11}$
M200 [ $10^{14}~h_{70}^{-1}~M_\odot$] $8.1{+1.8\atop-1.4}$ $5.6{+1.9\atop-1.4}$ M200 [ $10^{14}~h_{70}^{-1}~M_\odot$] $7.5{+1.3\atop-1.5}$ $5.3{+2.1\atop-1.2}$
NFW (fixed c) [ $\chi^2/\;{\rm d.o.f.}$] 1.42 1.66 NFW (fixed c) [ $\chi^2/\;{\rm d.o.f.}$] 1.31 1.12
c 3.7 3.7 c 3.7 3.7
r200 [ $h_{70}^{-1}\;{\rm Mpc}$] $1.81{+0.057\atop-0.16}$ $1.56{+0.13\atop-0.16}$ r200 [ $h_{70}^{-1}\;{\rm Mpc}$] $1.67{+0.16\atop-0.086}$ $1.51{+0.16\atop-0.14}$
M200 [ $10^{14}~h_{70}^{-1}~M_\odot$] $9.4{+0.9\atop-2.4}$ $5.9{+1.5\atop-1.8}$ M200 [ $10^{14}~h_{70}^{-1}~M_\odot$] $7.4{+2.1\atop-1.1}$ $5.4{+1.7\atop-1.5}$
KS93b $\kappa $ map     Galaxy density    
SIS [ $\chi^2/\;{\rm d.o.f.}$] 1.30 2.32 SIS [ $\chi^2/\;{\rm d.o.f.}$] 1.17  
$\theta_{\rm E}$ [ $\hbox{$^{\prime\prime}$ }$] $16.5{+2.6\atop-2.4}$ $10.4{+2.7\atop-2.6}$ $\theta_{\rm E}$ [ $\hbox{$^{\prime\prime}$ }$] $16.5{+2.3\atop-2.4}$  
$\sigma_v$ [ ${\rm km\;s}^{-1}$] $1050\pm80$ $830{+100\atop-110}$ $\sigma_v$ [ ${\rm km\;s}^{-1}$] $1050{+70\atop-80}$  
$M_{\rm SIS}$ [ $10^{14}~h_{70}^{-1}~M_\odot$] $8.9\pm1.5$ $4.9{+1.3\atop-1.4}$ $M_{\rm SIS}$ [ $10^{14}~h_{70}^{-1}~M_\odot$] $9.0{+1.3\atop-1.5}$  
NFW [ $\chi^2/\;{\rm d.o.f.}$] 0.96 2.22 NFW [ $\chi^2/\;{\rm d.o.f.}$] 0.88  
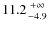
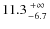
c $11.2{+\infty\atop-4.9}$ $0.9{+2.1\atop-0.4}$ c $11.3{+\infty\atop-6.7}$  
r200 [ $h_{70}^{-1}\;{\rm Mpc}$] $1.74{+0.11\atop-0.10}$ $1.50{+0.17\atop-0.24}$ r200 [ $h_{70}^{-1}\;{\rm Mpc}$] $1.76{+0.10\atop-0.11}$  
M200 [ $10^{14}~h_{70}^{-1}~M_\odot$] $8.3{+1.6\atop-1.4}$ $5.3{+1.8\atop-2.6}$ M200 [ $10^{14}~h_{70}^{-1}~M_\odot$] $8.5{+1.5\atop-1.7}$  
NFW (fixed c) [ $\chi^2/\;{\rm d.o.f.}$] 1.13 2.33 NFW (fixed c) [ $\chi^2/\;{\rm d.o.f.}$] 1.00  
c 3.7 3.7 c 3.7  
r200 [ $h_{70}^{-1}\;{\rm Mpc}$] $1.81{+0.10\atop-0.13}$ $1.51{+0.11\atop-0.23}$ r200 [ $h_{70}^{-1}\;{\rm Mpc}$] $1.79{+0.10\atop-0.11}$  
M200 [ $10^{14}~h_{70}^{-1}~M_\odot$] $9.4{+1.6\atop-2.0}$ $5.4{+1.2\atop-2.5}$ M200 [ $10^{14}~h_{70}^{-1}~M_\odot$] $9.0{+1.5\atop-1.7}$  
Integration of SS01 $\kappa $ maps          
r200 [ $h_{70}^{-1}\;{\rm Mpc}$] 1.69 1.50      
$M_{\rm 2D}(<r_{200})$ [ $10^{14}~h_{70}^{-1}~M_\odot$] $11.7\pm3.1$ $10.5\pm2.7$      
a Seitz & Schneider (2001). b Kaiser & Squires (1993).
Note that the KSB+  PSF correction tends to underestimate the shear by $10{-}15\%$, which in turn reduces the cluster masses up to $20\%$.

Source LaTeX | All tables | In the text

Current usage metrics show cumulative count of Article Views (full-text article views including HTML views, PDF and ePub downloads, according to the available data) and Abstracts Views on Vision4Press platform.

Data correspond to usage on the plateform after 2015. The current usage metrics is available 48-96 hours after online publication and is updated daily on week days.

Initial download of the metrics may take a while.