Free Access
 

 

Table 2:

Energy and intensity of the lines detected in the combined RGS spectrum of NGC 1365.
Energy (eV) Intensity (I) I/I[ O VII(f)] I/I[ O VII(f)] Transition $(E_{{\rm lab}})$a Contribution by
(eV) (10-5 s-1 cm-2) NGC 1365 NGC 1068 (eV) thermal plasma (%)b
$367.4\pm0.2$ $1.4\pm^{0.4}_{0.5}$ $0.60\pm^{0.18}_{0.19}$ $1.16\pm^{0.05}_{0.19}$ C VI Ly-$\alpha $ (367.56) $100 \pm 50$
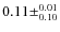
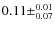
$430.72\pm^{0.02}_{0.09}$ $0.7\pm0.4$ $0.30\pm^{0.15}_{0.17}$ $0.35\pm^{0.02}_{0.17}$ N VI He-$\alpha $ (r) (430.75) $90 \pm 50$
(r) - 4.4 <0.6 <0.25 $0.08 \pm 0.02$ N VI He-$\alpha $ (i) (426.37) $\le$100
(r) - 10.8 $1.8\pm0.3$ $0.73\pm^{0.13}_{0.14}$ $0.89\pm^{0.03}_{0.14}$ N VI He-$\alpha $ (f) (419.86) $26 \pm 7$
$435.26\pm^{0.16}_{0.30}$ $0.6\pm^{0.2}_{0.3}$ $0.27\pm^{0.10}_{0.11}$ <0.06 C VI Ly-$\beta$ (435.91) $70 \pm 40$
$459.0\pm^{0.5}_{0.3}$ $0.40\pm^{0.17}_{0.18}$ $0.16\pm 0.07$ $0.11\pm^{0.01}_{0.07}$ C VI Ly-$\gamma$ (459.42) $90 \pm 50$
$499.96\pm^{0.04}_{0.22}$ $1.2\pm0.2$ $0.52\pm^{0.09}_{0.10}$ $0.41\pm^{0.02}_{0.10}$ N VII Ly-$\alpha $ (500.31) $100 \pm 30$
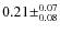
$573.99\pm^{0.05}_{0.05}$ $1.0 \pm 0.2$ $0.41\pm^{0.09}_{0.10}$ $0.38\pm^{0.03}_{0.10}$ O VII He-$\alpha $ (r) (574.02) $110 \pm 30$
(r) - 5.3 $0.6\pm0.2$ $0.23\pm^{0.09}_{0.10}$ $0.12\pm^{0.02}_{0.10}$ O VII He-$\alpha $ (i) (569.07) $34 \pm 12$
(r) - 13.0 $2.4\pm0.3$ $1.00\pm0.13$ $1.00\pm^{0.04}_{0.13}$ O VII He-$\alpha $ (f) (561.06) $40 \pm 8$
$653.4\pm0.6$ $2.5\pm0.2$ $1.03\pm^{0.08}_{0.09}$ $0.52\pm^{0.02}_{0.09}$ O VII Ly-$\alpha $ (653.70) $110 \pm 20$
$726.00\pm^{0.35}_{0.13}$ $1.89\pm^{0.18}_{0.19}$ $0.78\pm0.08$ $0.14\pm^{0.01}_{0.08}$ Fe XVII 3s2p (726.29) $86 \pm 11$
$738.1\pm^{0.3}_{0.9}$ $0.47 \pm^{0.15}_{0.13}$ $0.20 \pm 0.06$ $0.104 \pm 0.014$ O VII RRCc (739.11) $60 \pm 20$
$773.54\pm^{0.02}_{0.34}$ $0.75\pm^{0.13}_{0.13}$ $0.31\pm^{0.05}_{0.06}$ $0.09\pm^{0.01}_{0.06}$ O VIII Ly-$\beta$ (774.71)d $83 \pm 16$
$824.57\pm0.07$ $1.49\pm^{0.16}_{0.17}$ $0.62\pm 0.07$ $0.12\pm^{0.01}_{0.07}$ Fe XVIII 3d2p (824.72) $98 \pm 14$
$872.0\pm0.7$ $0.42\pm^{0.12}_{0.13}$ $0.18\pm 0.05$ $0.06\pm^{0.01}_{0.05}$ OVIII RRC (871.52)e $60 \pm^{70}_{40}$
$921.63\pm^{0.25}_{0.12}$ $0.42\pm^{0.17}_{0.18}$ $0.18\pm^{0.07}_{0.08}$ $0.10\pm^{0.01}_{0.08}$ Ne IX He-$\alpha $ (r) (922.14) $130 \pm 60$
(r) - 7.2 <0.33 <0.14 <0.05 Ne IX He-$\alpha $ (i) (915.13) <100
(r) - 13.0 $0.40\pm^{0.11}_{0.12}$ $0.17\pm 0.05$ $0.10\pm^{0.01}_{0.05}$ Ne IXHe-$\alpha $ (f) (905.11) $90 \pm 30$
$1021.13\pm^{1.20}_{0.10}$ $1.0 \pm 0.2$ $0.43\pm^{0.09}_{0.10}$ $0.11\pm^{0.01}_{0.10}$ Ne X Ly-$\alpha $ (1021.92) $120 \pm 30$
$1353.2\pm^{2.1}_{1.4}$ $0.57\pm^{0.15}_{0.16}$ $0.24\pm^{0.06}_{0.07}$ <0.05 Mg XI He-$\alpha $ (r) (1352.24) $110 \pm 15$
(r) - 8.0 <0.6 <0.25 <0.04 Mg XI He-$\alpha $ (i) (1343.44) $\le$100
(r) - 21.0 $0.33\pm^{0.15}_{0.16}$ $0.14\pm^{0.06}_{0.07}$ <0.04 Mg XI He-$\alpha $ (f) (1331.90) $90 \pm 50$
$1473.0\pm^{3.7}_{1.7}$ $0.50\pm^{0.18}_{0.19}$ $0.21\pm^{0.07}_{0.08}$ <0.04 Mg XII Ly-$\alpha $ (1472.51) $90 \pm 30$
$1896.9\pm0.7$ <47 <33 <0.33 Si XIII He-$\alpha $ (r) (1867.47) $\le$100
(r) - 13.8 <2.4 <1.0 <0.05 Si XIII He-$\alpha $ (i) (1853.61) $\le$100
(r) - 27.8 $1.9\pm^{1.1}_{0.7}$ $0.8\pm^{0.5}_{0.3}$ <0.04 Si XIII He-$\alpha $ (f) (1839.76) $90 \pm 30$
$1892.7\pm0.8$f $1.1\pm0.4$ $0.46\pm 0.18$ <0.05   ...
a Most likely identification. The laboratory energy is shown in brackets. b Contribution to the total intensity due to the best-fit model in Table 3. Values higher than 100% mean that the model over-predicts the data at that energy. c Fit with a single Gaussian ( $\sigma \le 8$ eV). Possible blending with Fe XVII 2$^{\rm s}$2$^{\rm p}$ (738.98 eV): see Sect. 4.1 for the results of a fit with two Gaussians. d Possible blending with Fe XVIII 3$^{\rm s}$2$^{\rm p}$ (773.02 eV). e Fit with a single Gaussian ( $\sigma \le 3$ eV). Possible blending with Fe XVIII 2$^{\rm s}$2$^{\rm p}$ (872.75 eV). See Sect. 4.1 for the results of a fir with two Gaussians. f Unidentified.

Source LaTeX | All tables | In the text

Current usage metrics show cumulative count of Article Views (full-text article views including HTML views, PDF and ePub downloads, according to the available data) and Abstracts Views on Vision4Press platform.

Data correspond to usage on the plateform after 2015. The current usage metrics is available 48-96 hours after online publication and is updated daily on week days.

Initial download of the metrics may take a while.