Free Access

 

 

Table 6:

Development of $ \left( \frac{a}{r} \right) ^3 \ \cos(2(\lambda-h) + 2 \Phi)$ of Venus. t is counted in Julian centuries.
M LS $\Phi$ Period    
      days $\cos \times 10^{-7}$ $t \cos \times 10^{-7}$
0 2 2 1490.35 $(1-\frac{5}{2}e_{\rm V}^2)=9998853$ 161
-1 2 2 -264.6 $(-\frac{1}{2} e +\frac{1}{16}e^3)=-33859$ 2388
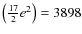
1 2 2 195.26 $\left(\frac{7}{2}e-\frac{123}{16}e^3\right)= 236993$ -16 718
2 2 2 104.47 $\left(\frac{17}{2}e^2\right)=3898$ 550
-3 2 2 224.70 $\frac{1}{48}e^3=0$ 0
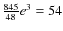
3 2 2 71.31 $\frac{845}{48}e^3=54$ -4


Source LaTeX | All tables | In the text

Current usage metrics show cumulative count of Article Views (full-text article views including HTML views, PDF and ePub downloads, according to the available data) and Abstracts Views on Vision4Press platform.

Data correspond to usage on the plateform after 2015. The current usage metrics is available 48-96 hours after online publication and is updated daily on week days.

Initial download of the metrics may take a while.