Free Access

   

Table 2:

The Si I experimental Stark widths.
Transition $\lambda$ (nm) T $W_{\rm m}$ $W_{\rm m}^{\rm corr}$ $W_{\rm m}/W_{\rm th}$ $W_{\rm m}^{\rm corr}/W_{\rm th}$ a b c
$\rm 3s^23p^2~^3P_0{-} 3s3p^3~^3D^{\circ}_1$ 220.798 12.5 7.2 $\pm$ 2.2 6.5 $\pm$ 2.2          
$\rm 3s^23p^2 ~^3P_1{-}
3s3p^3~^3D^{\circ}_2$ 221.089 12.5 7.8 $\pm$ 2.3 6.1 $\pm$ 2.3          
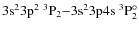
$\rm 3s^23p^2 ~^3P_1{-}3s^23p4s
~^3P^{\circ}_2$ 250.690 15.0 14.5 $\pm$ 4.1 14.1 $\pm$ 4.1 1.43 1.39 70 28  
$\rm 3s^23p^2 ~^3P_0{-} 3s^23p4s
~^3P^{\circ}_1$ 251.432 15.0 11.5 $\pm$ 3.2 11.2 $\pm$ 3.2 1.13 1.10   30  
$\rm 3s^23p^2 ~^3P_2{-}
3s^23p4s~^3P^{\circ}_2$ 251.611 15.0 12.7 $\pm$ 3.6 11.7 $\pm$ 3.6 1.25 1.15   30  
$\rm 3s^23p^2 ~^3P_1{-}
3s^23p4s~^3P^{\circ}_1$ 251.920 12.5 12.4 $\pm$ 3.5 11.2 $\pm$ 3.5 1.26 1.13   28  
$\rm 3s^23p^2 ~^3P_1{-}
3s^23p4s~^3P^{\circ}_0$ 252.411 12.5 11.9 $\pm$ 3.3 10.4 $\pm$ 3.4 1.20 1.05 72 28  
$\rm 3s^23p^2 ~^3P_2{-} 3s^23p4s
~^3P^{\circ}_1$ 252.851 12.5 13.0 $\pm$ 3.6 10.7 $\pm$ 3.7 1.31 1.07 68 30  
$\rm 3s^23p^2 ~^1D_2{-}
3s^23p4s~^1P^{\circ}_1$ 288.158 15.0 14.5 $\pm$ 4.1   1.04   54 34 62
$\rm 3s^23p^2 ~^1D_2{-}
3s^23p4s~^3P^{\circ}_1$ 298.764 15.0 14.7 $\pm$ 4.1            
$\rm 3s^23p^27 ~^1S_0{-}
3s^23p4s~^1P^{\circ}_1$ 390.552 12.5 20.8 $\pm$ 5.8   0.85     32 18
The transition is not given 206.119 15.0 5.0 $\pm$ 1.5            
The transition is not given 243.515 12.5 12.5 $\pm$ 3.5            

Note 2. Our measured Si I Stark FWHM ($W_{\rm m}$ in pm) at given T (in 103 K $\pm$14%) and $N =1\times 10^{23}$ m $^{-3} \pm 13\%$, with estimated accuracies. $W_{\rm m}^{\rm corr}$ denotes Stark FWHM values after corrections for self-absorption. The W (in pm) values from other experiments are also given: a (Sreckovic et al. 1998); b (Puric et al. 1974) and c (Meyer & Beck 1970) obtained at following T and N: a (T=28 500 K, $N = 1.9 \times 10^{23}$ m-3); b (T=16 400 K, $N=1.0\times 10^{23}$ m-3), and c (T=12 200 K, $N=1.0\times 10^{23}$ m-3). $W_{\rm th}$represents values presented by Griem (1974), calculated for electrons as perturbers only. Expected corrections for quasi-static broadening by ions, extrapolated from Griem (1974, p. 343), is roughly about 10% at the high densities in the experiment. Atomic data are taken from NIST.


Source LaTeX | All tables | In the text

Current usage metrics show cumulative count of Article Views (full-text article views including HTML views, PDF and ePub downloads, according to the available data) and Abstracts Views on Vision4Press platform.

Data correspond to usage on the plateform after 2015. The current usage metrics is available 48-96 hours after online publication and is updated daily on week days.

Initial download of the metrics may take a while.