Free Access

 

 

Table 1:

Crystalline silicate fractions for a range of model parameters.

$\Omega_0=10^{-14}$ s-1, $c_{\rm s}=0.19$ km s-1
t R (AU)
(Myr) 10 30 100   10 30 100   10 30 100   10 30 100
  M0=0.20, $M_{\rm d}=0.012$   M0=0.50, $M_{\rm d}=0.074$   M0=1.0, $M_{\rm d}=0.26$   M0=5.0, $M_{\rm d}=2.3$
1.0 19.7 20.1 21.5   6.7 6.0 5.5   7.6 3.8 1.9   17.0 2.9 0.4
1.6 21.1 21.3 22.2   6.1 5.8 5.7   5.3 3.4 2.3   23.0 3.9 0.4
3.1 22.9 23.0 23.4   5.9 5.8 5.9   3.3 2.6 2.2   24.6 4.4 0.6
  $\Omega_0=10^{-14}$ s-1, $c_{\rm s}=0.26$ km s-1
t R (AU)
(Myr) 10 30 100   10 30 100   10 30 100   10 30 100
  M0=0.20, $M_{\rm d}=0$ a   M0=0.50, $M_{\rm d}=0.037$   M0=1.0, $M_{\rm d}=0.13$   M0=5.0, $M_{\rm d}=1.9$
1.0 ... ... ...   32.1 32.3 33.8   17.4 16.0 15.1   54.1 9.3 1.2
1.6 ... ... ...   33.3 33.5 34.4   16.4 15.7 15.4   37.5 9.7 2.2
3.1 ... ... ...   35.1 35.3 35.7   16.0 15.8 15.8   16.5 6.1 3.3
  $\Omega_0=10^{-13}$ s-1, $c_{\rm s}=0.19$ km s-1
t R (AU)
(Myr) 10 30 100   10 30 100   10 30 100   10 30 100
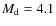
  M0=0.20, $M_{\rm d}=0.051$   M0=0.50, $M_{\rm d}=0.23$   M0=1.0, $M_{\rm d}=0.58$   M0=5.0, $M_{\rm d}=4.1$
1.0 2.1 1.9 1.6   2.6 1.3 0.6   4.4 1.3 0.3   5.4 1.1 0.2
1.6 1.8 1.7 1.6   1.7 1.0 0.5   2.9 1.1 0.4   5.1 1.2 0.2
3.1 1.6 1.5 1.5   1.0 0.6 0.4   1.5 0.6 0.3   8.5 0.5 0.02
  $\Omega_0=10^{-13}$ s-1, $c_{\rm s}=0.26$ km s-1
t R (AU)
(Myr) 10 30 100   10 30 100   10 30 100   10 30 100
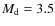
  M0=0.20, $M_{\rm d}=0.019$   M0=0.50, $M_{\rm d}=0.13$   M0=1.0, $M_{\rm d}=0.43$   M0=5.0, $M_{\rm d}=3.5$
1.0 12.1 12.0 12.0   5.3 4.4 3.6   6.2 3.3 1.7   19.3 3.9 0.6
1.6 12.0 12.0 12.0   4.5 4.0 3.6   4.5 2.6 1.6   14.6 3.3 0.7
3.1 12.1 12.1 12.2   3.7 3.5 3.3   2.7 1.7 1.3   8.6 2.4 0.8

Notes. The fractions are given in per cent of the total silicate dust abundance at the indicated distance from the star (R) and time after the onset of collapse (t). The initial cloud core mass (M0, in $M_\odot $) and the disk mass at the end of the accretion phase ($M_{\rm d}$, in $M_\odot $) are listed for each combination of parameters. (a) No disk is formed at all for this combination of parameters.


Source LaTeX | All tables | In the text

Current usage metrics show cumulative count of Article Views (full-text article views including HTML views, PDF and ePub downloads, according to the available data) and Abstracts Views on Vision4Press platform.

Data correspond to usage on the plateform after 2015. The current usage metrics is available 48-96 hours after online publication and is updated daily on week days.

Initial download of the metrics may take a while.