Free Access

Fig. 13

thumbnail

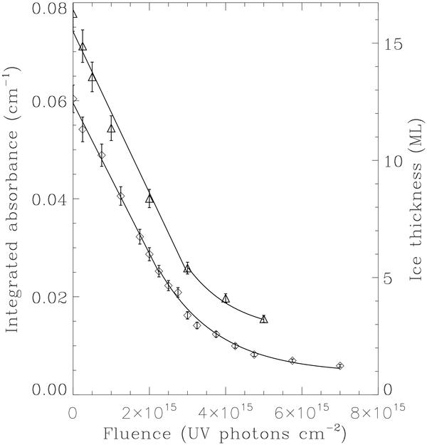
Decrease in the absorption area (integrated absorbance) of the CO ice band as a function of fluence, see Sect. 3 for the determination of the integrated absorbance. Triangles and diamonds correspond respectively to datapoints for 7 K and 8 K experiments. Roughly, 1 ML of ice is equivalent to a column density of 1 × 1015 molecules cm-2.

Current usage metrics show cumulative count of Article Views (full-text article views including HTML views, PDF and ePub downloads, according to the available data) and Abstracts Views on Vision4Press platform.

Data correspond to usage on the plateform after 2015. The current usage metrics is available 48-96 hours after online publication and is updated daily on week days.

Initial download of the metrics may take a while.