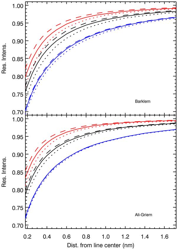
Fig. 2

Hα red wing profiles in the wavelength range significant for the fit. In each panel, red profiles (upper ones) are for Teff = 5400 K, black profiles (middle ones) are for Teff = 6000 K, and blue profiles (lower) for Teff = 6600 K. For each temperature, dashed profiles are for log g = 3.5, solid profiles for log g = 4.0, and dotted profiles are for log g = 4.5. All profiles assume [Fe/H] = −3. Upper panel shows profiles for BA temperatures, lower panel for ALI temperatures.
Current usage metrics show cumulative count of Article Views (full-text article views including HTML views, PDF and ePub downloads, according to the available data) and Abstracts Views on Vision4Press platform.
Data correspond to usage on the plateform after 2015. The current usage metrics is available 48-96 hours after online publication and is updated daily on week days.
Initial download of the metrics may take a while.