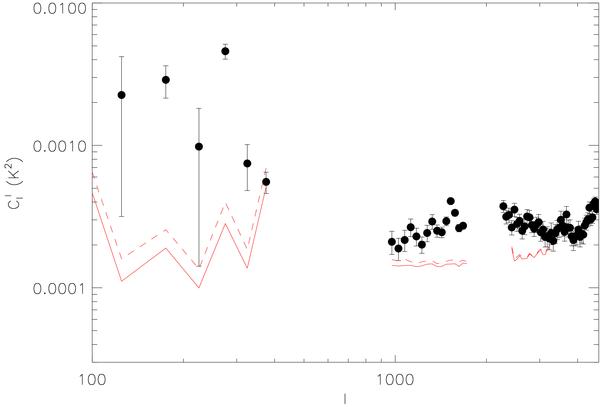
Fig. 21

Comparison between angular power spectra due to various components: the 3C 196 field (filled circles), Poisson distributed point sources (red solid line) and clustered point sources (red dashed line, see text for details). The power spectra of the point sources have the same uv cut as the 3C 196 data. The error bars are at 2σ confidence level.
Current usage metrics show cumulative count of Article Views (full-text article views including HTML views, PDF and ePub downloads, according to the available data) and Abstracts Views on Vision4Press platform.
Data correspond to usage on the plateform after 2015. The current usage metrics is available 48-96 hours after online publication and is updated daily on week days.
Initial download of the metrics may take a while.