Free Access

Fig. 4

thumbnail

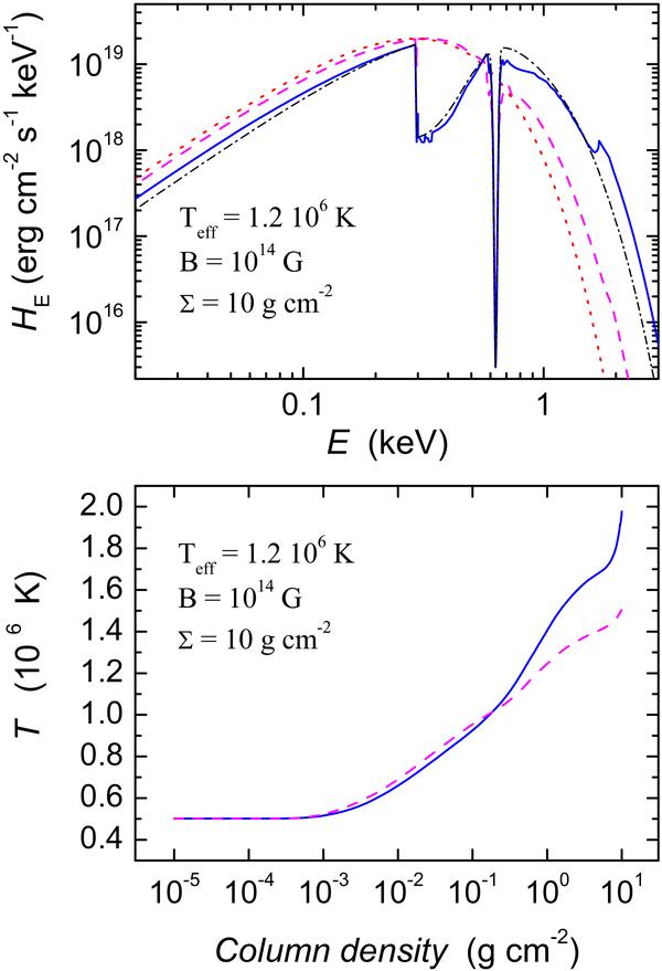
Effect of the inner boundary condition of the radiation transfer equation on emergent spectrum (top panel) and temperature structure (bottom panel) of a thin partially ionized hydrogen atmosphere (Teff = 1.2 × 106 K, B = 1014 G) with Σ = 10 g cm-2, above the condensed iron surface (solid curves) and black-body surface (dashed curves). For comparison, the black-body spectrum with T = Teff (dotted curve) and the diluted black-body spectrum (fc = 1.6, D = 1.4-4), with a Gaussian line representing the proton cyclotron line (E1 = 0.63 keV, τ1 = 8.5, σ1 = 11 eV), and a half-Gaussian line (E2 = 0.3 keV, τ1 = 2.5, σ1 = 150 eV) describing the absorption feature at energies higher than Ec,i (dash-dotted curve) are shown. That last curve fits the spectrum of the atmosphere above the condensed iron surface.

Current usage metrics show cumulative count of Article Views (full-text article views including HTML views, PDF and ePub downloads, according to the available data) and Abstracts Views on Vision4Press platform.

Data correspond to usage on the plateform after 2015. The current usage metrics is available 48-96 hours after online publication and is updated daily on week days.

Initial download of the metrics may take a while.