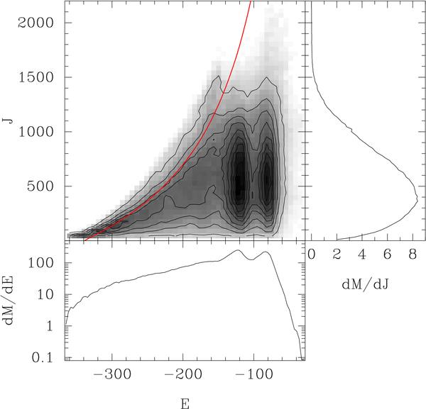
Fig. 3

The figure shows a contour plot of d2M/dEdJ for the full simulation of an isolated halo (MacMillan 2006). The separate plots of dM/dE and dMdJ are also indicated. The corresponding density of states is almost independent of J and is the expected (e.g. Binney & Tremaine 1987) | E | -2.5 law. The line on the upper left is J(E) for circular orbits.
Current usage metrics show cumulative count of Article Views (full-text article views including HTML views, PDF and ePub downloads, according to the available data) and Abstracts Views on Vision4Press platform.
Data correspond to usage on the plateform after 2015. The current usage metrics is available 48-96 hours after online publication and is updated daily on week days.
Initial download of the metrics may take a while.