Free Access

Fig. 16

thumbnail

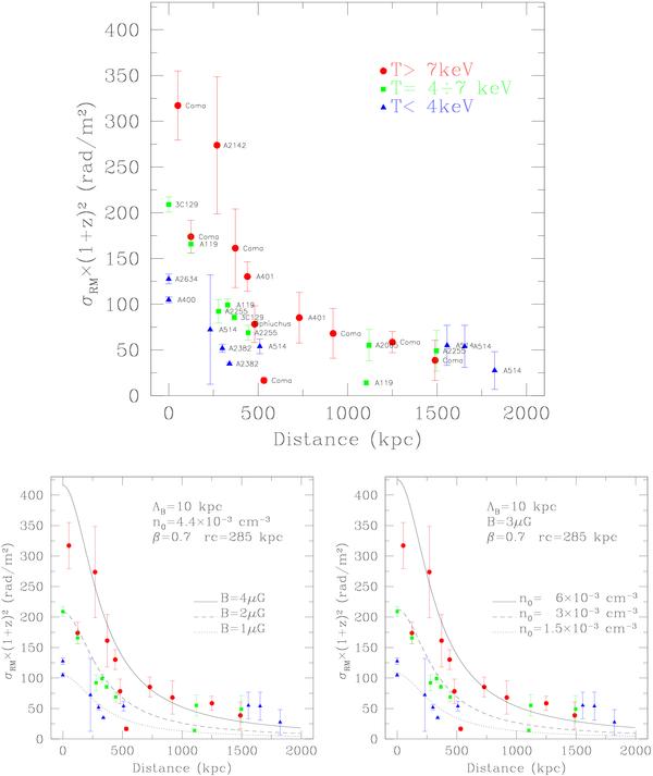
Top: dispersion of the rotation measure distribution as a function of the projected distance from the cluster X-ray center. The different symbols represent the cluster temperature taken from the literature (red  > 7 keV, green 4 − 7 keV, blue  < 4 keV). Bottom: prediction of the analytical formulation by assuming a magnetic field scale ΛB = 10   kpc, and by keeping fixed the X-ray parameters to the mean values of the cluster sample β = 0.7 rc = 285   kpc. On the left n0 = 4.4  ×  10-3   cm-3 has been fixed and we present the expectations for three different magnetic field strengths (B = 1,2,4   μG). On the right B = 3   μG has been fixed and we present the expectations for three different central gas densities (n0 = 1.5,3,6  ×  10-3   cm-3).

Current usage metrics show cumulative count of Article Views (full-text article views including HTML views, PDF and ePub downloads, according to the available data) and Abstracts Views on Vision4Press platform.

Data correspond to usage on the plateform after 2015. The current usage metrics is available 48-96 hours after online publication and is updated daily on week days.

Initial download of the metrics may take a while.