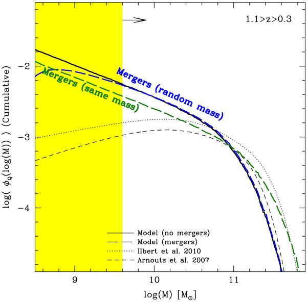
Fig. 11

The increase in the observed SMF of quiescent galaxies in Ilbert et al. (2010) and Arnouts et al. (2007) compared to Monte-Carlo realization of the cumulated quenched SMF between z = 1.1 and z = 0.3. One realization (black solid line) shows the same as Fig. 9 (i.e. result obtained by quenching star-forming galaxies by the right amount to keep a constant SMF) while others show the potential effect of various merger scenario on the mass function (see text).
Current usage metrics show cumulative count of Article Views (full-text article views including HTML views, PDF and ePub downloads, according to the available data) and Abstracts Views on Vision4Press platform.
Data correspond to usage on the plateform after 2015. The current usage metrics is available 48-96 hours after online publication and is updated daily on week days.
Initial download of the metrics may take a while.