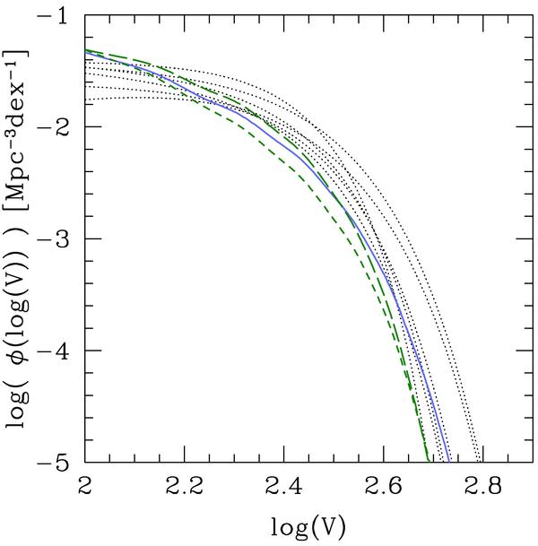
Fig. 5

Spiral galaxies velocity function at redshift zero, derived from the AMF using our models (solid line), compared to velocity functions empirically derived in the local universe by Gonzalez et al. (2000), using various observational sets (dotted lines). The dashed curves show the velocity functions obtained if the Bell et al. (2003) redshift 0 functions (shown in Fig. 3) are used instead of the AMF.
Current usage metrics show cumulative count of Article Views (full-text article views including HTML views, PDF and ePub downloads, according to the available data) and Abstracts Views on Vision4Press platform.
Data correspond to usage on the plateform after 2015. The current usage metrics is available 48-96 hours after online publication and is updated daily on week days.
Initial download of the metrics may take a while.