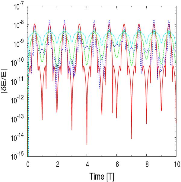
Fig. 10

Cumulative energy error (ΔE/E0 = (Et − E0)/E0) as a function of time for the first 10 periods for the simulations of equal-mass binary systems with 4 different eccentricities. The eccentricities of the binaries are e = 0.19 (red line), e = 0.51 (green dashed line), e = 0.75 (blue dotted line), and e = 0.91 (cyan dashed-dotted line).
Current usage metrics show cumulative count of Article Views (full-text article views including HTML views, PDF and ePub downloads, according to the available data) and Abstracts Views on Vision4Press platform.
Data correspond to usage on the plateform after 2015. The current usage metrics is available 48-96 hours after online publication and is updated daily on week days.
Initial download of the metrics may take a while.