Free Access
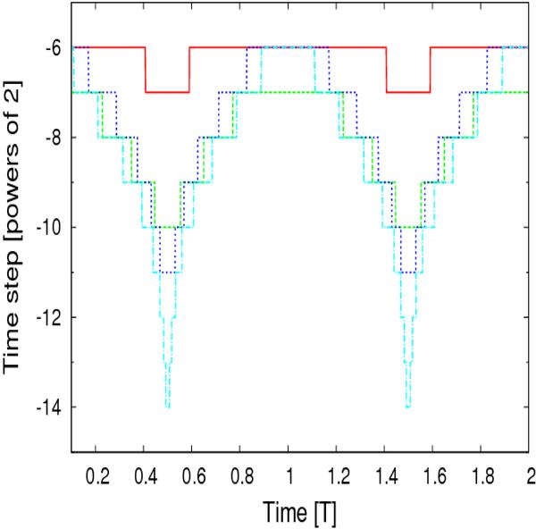
Fig. 11

Variation in the time step used for the evolution of the binary systems of Fig. 10 during 2 periods of each binary. The time step parameter ηb is chosen so that the error in all the binaries is of the same order.
Current usage metrics show cumulative count of Article Views (full-text article views including HTML views, PDF and ePub downloads, according to the available data) and Abstracts Views on Vision4Press platform.
Data correspond to usage on the plateform after 2015. The current usage metrics is available 48-96 hours after online publication and is updated daily on week days.
Initial download of the metrics may take a while.