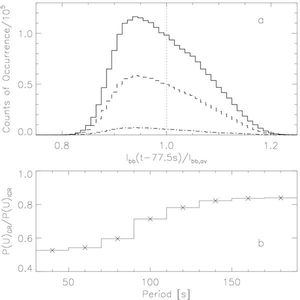
Fig. 4

a) Occurrence of wavelet power of velocities vs. normalised broadband intensity Ibb(t − 77.5 s) / Ibb,av at five time steps earlier than the measurement of the velocities. Solid: in period range 150–190 s, dashed: in range 110–150 s, dash-dotted: in range 30–110 s. b) Ratio of power above GR to that above IGR.
Current usage metrics show cumulative count of Article Views (full-text article views including HTML views, PDF and ePub downloads, according to the available data) and Abstracts Views on Vision4Press platform.
Data correspond to usage on the plateform after 2015. The current usage metrics is available 48-96 hours after online publication and is updated daily on week days.
Initial download of the metrics may take a while.