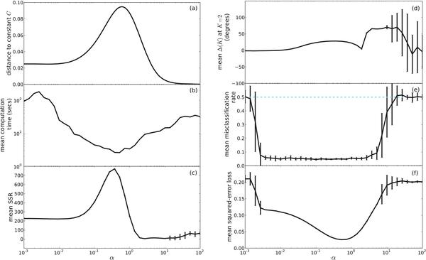
Fig. 8

Impact of non-optimal similarity measures on clustering results. a) Modified Manhattan distance C (Eq. (39)). b) Mean computation time per fit without errorbars. c) Mean SSR(K) values of resulting fits for K = 2. d) Mean angular change of SSR(K) at K = 2. e) Mean misclassification rate (solid line) and 50% misclassification rate (dashed line). f) Mean squared-error loss of maximum cluster posteriors.
Current usage metrics show cumulative count of Article Views (full-text article views including HTML views, PDF and ePub downloads, according to the available data) and Abstracts Views on Vision4Press platform.
Data correspond to usage on the plateform after 2015. The current usage metrics is available 48-96 hours after online publication and is updated daily on week days.
Initial download of the metrics may take a while.