Free Access
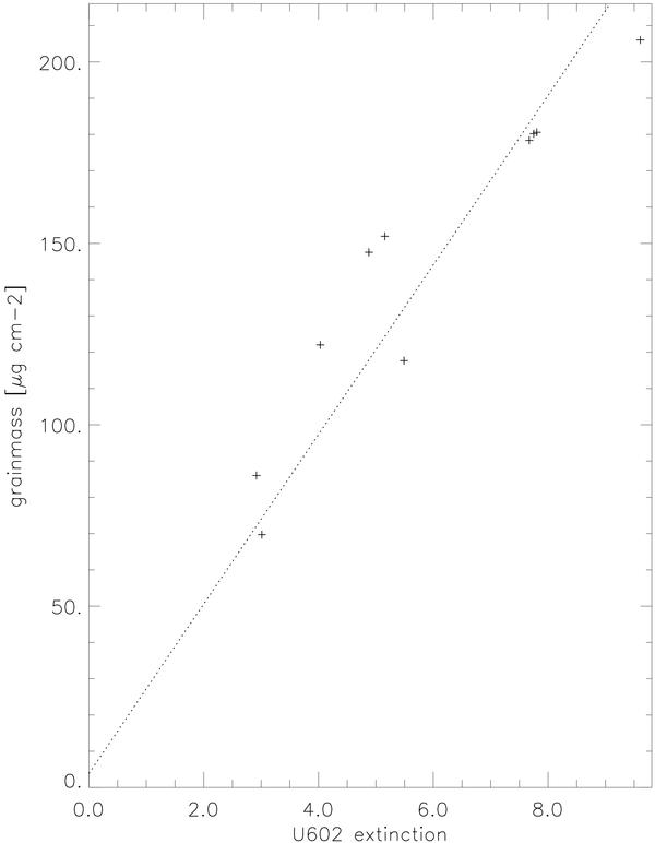
Fig. 12

The total particle masses for the grain size distribution shown in Fig. 11 as a function of the U-extinction. The slope of the curve corresponds to 23( ± 3)μgcm-2 magnitude-1.
Current usage metrics show cumulative count of Article Views (full-text article views including HTML views, PDF and ePub downloads, according to the available data) and Abstracts Views on Vision4Press platform.
Data correspond to usage on the plateform after 2015. The current usage metrics is available 48-96 hours after online publication and is updated daily on week days.
Initial download of the metrics may take a while.