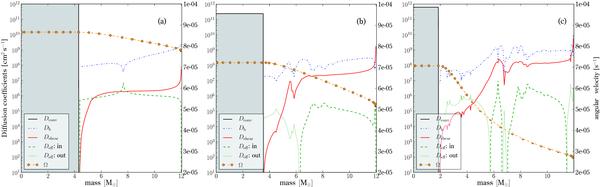
Fig. 1

Diffusion coefficients and angular velocity versus mass for a 12 M⊙ star with υini/υcrit = 0.4 at the start of hydrogen burning a) when central hydrogen mass fraction is 0.48 b) and 5 × 10-3c). The area below the convective diffusion coefficient Dconv is grey shaded to depict the convective core. The diffusion coefficient describing meridional circulation Deff is plotted with two different lines to distinguish between U(r) < 0 (green dotted line) and U(r) > 0 (green dashed line), i.e. the zones transporting angular momentum outwards and inwards respectively.
Current usage metrics show cumulative count of Article Views (full-text article views including HTML views, PDF and ePub downloads, according to the available data) and Abstracts Views on Vision4Press platform.
Data correspond to usage on the plateform after 2015. The current usage metrics is available 48-96 hours after online publication and is updated daily on week days.
Initial download of the metrics may take a while.