Free Access
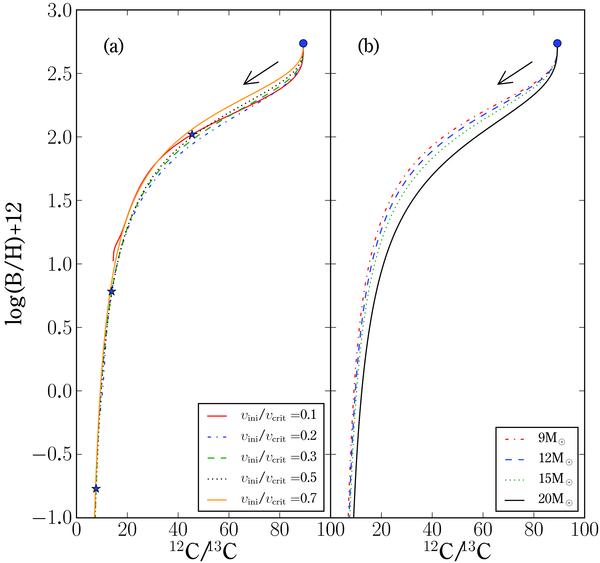
Fig. 6

Boron versus 12C to 13C ratio for 12 M⊙ models with different rotation velocities a) and of 9, 12, 15, and 20 M⊙ models with υini/υcrit = 0.4 b). In the left hand plot, the end of the MS of the slow rotators (υini/υcrit = 0.1−0.3) is marked by a star symbol. The ZAMS position is indicated by a circle.
Current usage metrics show cumulative count of Article Views (full-text article views including HTML views, PDF and ePub downloads, according to the available data) and Abstracts Views on Vision4Press platform.
Data correspond to usage on the plateform after 2015. The current usage metrics is available 48-96 hours after online publication and is updated daily on week days.
Initial download of the metrics may take a while.