Free Access

Fig. 14

thumbnail

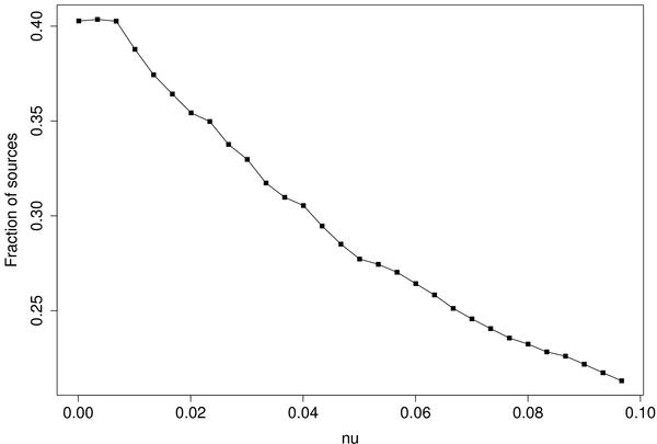
The fraction of new data points passing through the one class filter as a function of the parameter ν. The higher the value of the parameter, the more objects are rejected, and fewer then remain for the main classification. The fraction reaches a plateau at around ν = 0.01.

Current usage metrics show cumulative count of Article Views (full-text article views including HTML views, PDF and ePub downloads, according to the available data) and Abstracts Views on Vision4Press platform.

Data correspond to usage on the plateform after 2015. The current usage metrics is available 48-96 hours after online publication and is updated daily on week days.

Initial download of the metrics may take a while.