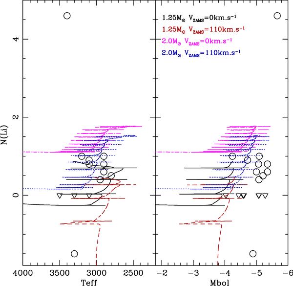
Fig. 15

Lithium observations in Uttenthaler & Lebzelter (2010) sample of oxygen-rich variables belonging to the Galactic disk (circles and triangles are for abundance determinations and upper limits respectively) as a function of effective temperature and bolometric magnitude. Typical error bars are indicated. The star with the highest Li abundance is W441 Cyg (see text). Theoretical lithium evolution is shown from the early-AGB up to the end of the TP-AGB. Various lines correspond to predictions for stellar models of different masses computed without or with rotation as indicated, and with thermohaline mixing in all cases (with Ct = 103).
Current usage metrics show cumulative count of Article Views (full-text article views including HTML views, PDF and ePub downloads, according to the available data) and Abstracts Views on Vision4Press platform.
Data correspond to usage on the plateform after 2015. The current usage metrics is available 48-96 hours after online publication and is updated daily on week days.
Initial download of the metrics may take a while.