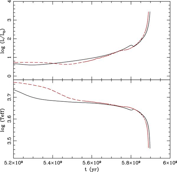
Fig. 8

Evolution with time along the RGB of the effective temperature and of the luminosity of the 1.25 M⊙ models computed with thermohaline mixing only (black solid line) and with both thermohaline and rotation-induced mixing (initial rotation velocity of 110 km s-1, red dotted line).
Current usage metrics show cumulative count of Article Views (full-text article views including HTML views, PDF and ePub downloads, according to the available data) and Abstracts Views on Vision4Press platform.
Data correspond to usage on the plateform after 2015. The current usage metrics is available 48-96 hours after online publication and is updated daily on week days.
Initial download of the metrics may take a while.