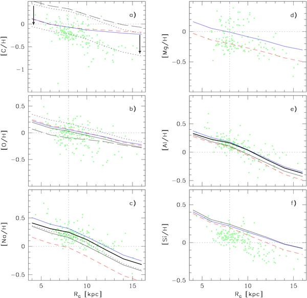
Fig. 17

Radial distribution of the abundances of carbon, oxygen, sodium, magnesium, aluminium, and silicon in the disc of the Milky Way at the present time. The predictions from Models 1 [short-dashed (red) lines], 3 [long-dashed (black) lines, only for C and O], 4 [upper solid (blue) curves], 5 [lower solid (black) curves], 9 [dotted (black) lines, only for C, O, and Na] and 15 (thick solid lines, only for Na and Al) are compared to the homogeneous data for Cepheid variable stars by Andrievsky et al. (2002a,b,c), Luck et al. (2003), Andrievsky et al. (2004), Kovtyukh et al. (2005), and Luck et al. (2006). In panels a) and d) the predictions from Model 5 are not shown because they are pretty much the same as Model 4. The intersection of the short-dashed vertical and horizontal (grey) lines in each panel marks the position of the Sun. See text for details. See the electronic edition of the journal for a colour version of this figure.
Current usage metrics show cumulative count of Article Views (full-text article views including HTML views, PDF and ePub downloads, according to the available data) and Abstracts Views on Vision4Press platform.
Data correspond to usage on the plateform after 2015. The current usage metrics is available 48-96 hours after online publication and is updated daily on week days.
Initial download of the metrics may take a while.