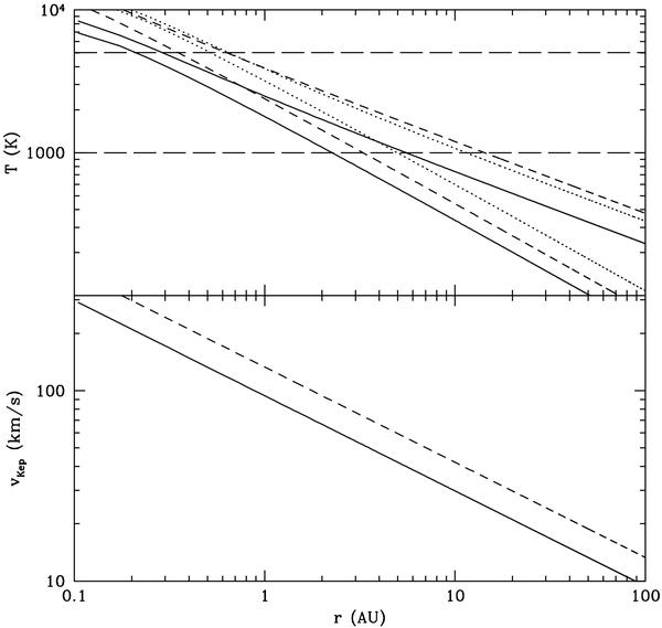
Fig. 6

Radial profiles of protostellar accretion disk models. Top panel: disk photospheric temperature for non-irradiated disk (lower solid line) and irradiated disk (upper solid line) for m∗ = 10 M⊙ with fiducial accretion rate. The equivalent models for m∗ = 10 M⊙ with accretion rate enhanced by a factor of 10 are shown by the dotted lines. The equivalent models for m∗ = 20 M⊙ with fiducial accretion rate are shown by the dashed lines. The long-dashed horizontal lines show the approximate range of temperatures where we consider there are contributions to the CO bandhead equivalent width. Bottom panel: Keplerian velocities for the m∗ = 10, 20 M⊙ models, shown by the solid and dashed lines, respectively.
Current usage metrics show cumulative count of Article Views (full-text article views including HTML views, PDF and ePub downloads, according to the available data) and Abstracts Views on Vision4Press platform.
Data correspond to usage on the plateform after 2015. The current usage metrics is available 48-96 hours after online publication and is updated daily on week days.
Initial download of the metrics may take a while.