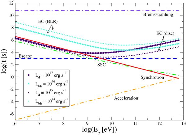
Fig. 4

Acceleration gain (orange dot-dashed line), escape (blue dashed line), and cooling lepton timescales are plotted. SSC (green two-dot-dashed line) is plotted when the steady state is reached and EC for the both BLR (turquoise square line) and disc (maroon dotted line) photon fields are shown for the conditions of faint (BLR: 1044; disc: 1045 erg s-1) and bright sources (BLR: 1046; disc: 1047 erg s-1). Synchrotron (red solid line) and relativistic bremsstrahlung (violet dot-two-dashed line) are also plotted. We have fixed ηB = 0.01. For protons, the pp cooling timescale is not shown for clarity, although it is similar to that of relativistic bremsstrahlung.
Current usage metrics show cumulative count of Article Views (full-text article views including HTML views, PDF and ePub downloads, according to the available data) and Abstracts Views on Vision4Press platform.
Data correspond to usage on the plateform after 2015. The current usage metrics is available 48-96 hours after online publication and is updated daily on week days.
Initial download of the metrics may take a while.