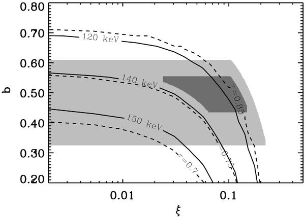
Fig. 5

Contour plots of the JED temperature (solid lines) and optical depth (dashed lines) in the ξ − b plane at a distance of 10 RG from a 10 M⊙ black hole. The ratio of the outer to inner JED radii is taken equal to 100, and the total accretion rate for the computation of the disc thermal balance is fixed to 1% of LEdd, i.e., the typical luminosity of Cyg X-1. The grey and dark grey areas correspond to the regions that agree with the observational constraints reported in Fig. 3.
Current usage metrics show cumulative count of Article Views (full-text article views including HTML views, PDF and ePub downloads, according to the available data) and Abstracts Views on Vision4Press platform.
Data correspond to usage on the plateform after 2015. The current usage metrics is available 48-96 hours after online publication and is updated daily on week days.
Initial download of the metrics may take a while.