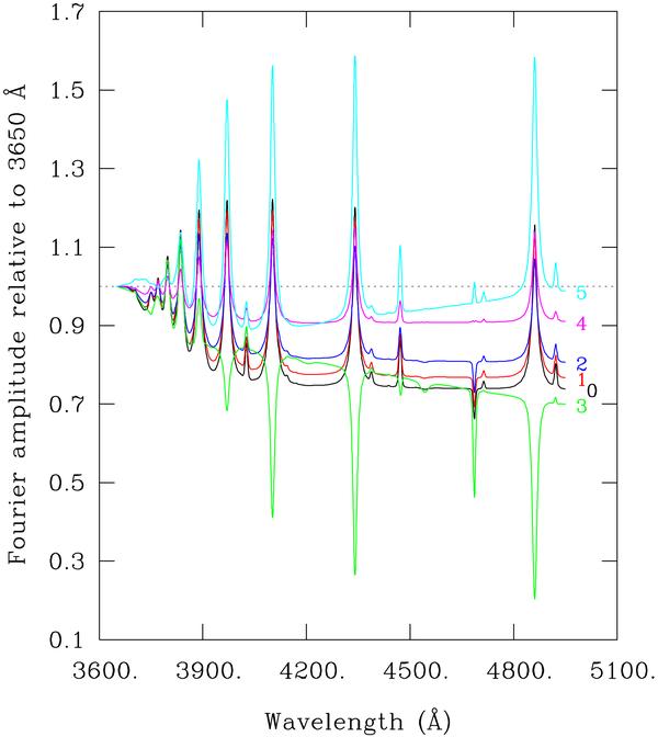
Fig. 8

Theoretical monochromatic amplitudes for modes with degree indices ℓ = 0−5 in the wavelength range of interest, normalised to 3650 Å. The computations were specifically carried out for the dominant mode in EC 20338−1925, and assume Teff = 34153 K, log g = 5.966, M∗ / M⊙ = 0.48, log q(H) = −4.3, and P = 146.9 s. The wavelength resolution was artificially degraded to 6.5 Å.
Current usage metrics show cumulative count of Article Views (full-text article views including HTML views, PDF and ePub downloads, according to the available data) and Abstracts Views on Vision4Press platform.
Data correspond to usage on the plateform after 2015. The current usage metrics is available 48-96 hours after online publication and is updated daily on week days.
Initial download of the metrics may take a while.