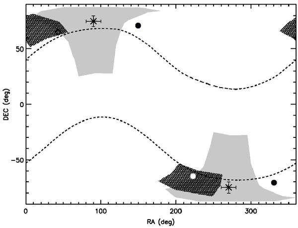
Fig. 9

Spin orientation on the sky according to different models (adapted from Lamy et al. 2007). Black dot: this paper (the dot size is unrelated to model uncertainties). Grey region: Davidsson & Gutiérrez (2005). Symbol * : Chesley (2004). White dot: Schleicher (2006). Hatched region: Lamy et al. (2007). Dashed lines: obliquity of 50° or 130° (Weiler et al. 2004).
Current usage metrics show cumulative count of Article Views (full-text article views including HTML views, PDF and ePub downloads, according to the available data) and Abstracts Views on Vision4Press platform.
Data correspond to usage on the plateform after 2015. The current usage metrics is available 48-96 hours after online publication and is updated daily on week days.
Initial download of the metrics may take a while.