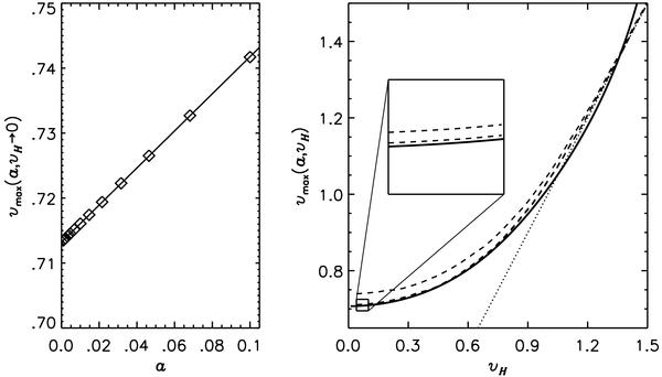
Fig. 3

Behaviour of the location where Stokes V is the largest as a function of the Voigt profile parameter a and the σ-component shift υH in the Zeeman triplet. Left panel: diamonds show the maximum positions υmax numerically calculated for different values of a and very small B (υH → 0). A linear fit (solid line) is sufficient to describe the dependence of υmax on a. Right panel: dashed lines are numerical simulations of υmax(a,υH) for a = 10-3,10-2,10-1. The dotted line describes its asymptotic behaviour when the line is fully split. The bold solid line is an analytical solution given by Eq. (26) for a = 0.
Current usage metrics show cumulative count of Article Views (full-text article views including HTML views, PDF and ePub downloads, according to the available data) and Abstracts Views on Vision4Press platform.
Data correspond to usage on the plateform after 2015. The current usage metrics is available 48-96 hours after online publication and is updated daily on week days.
Initial download of the metrics may take a while.