Press Release
Free Access
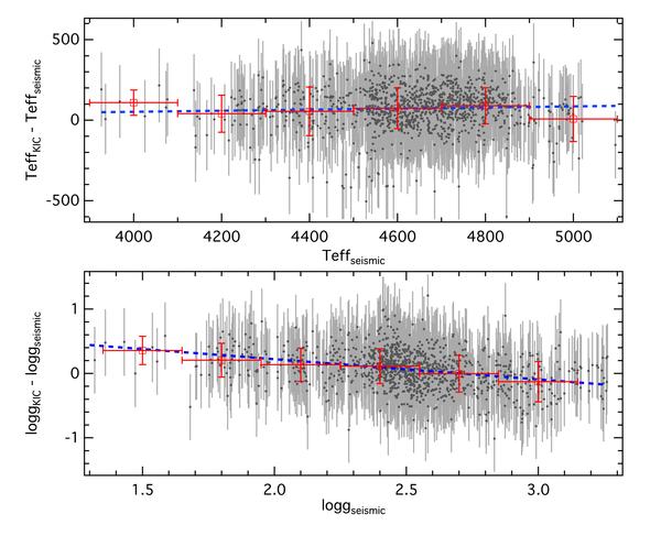
Fig. 13

Comparison between the seismically determined effective temperature and surface gravity and the corresponding KIC parameters. Dashed lines indicate a linear fit and red square symbols (in the online version only) show binned values.
Current usage metrics show cumulative count of Article Views (full-text article views including HTML views, PDF and ePub downloads, according to the available data) and Abstracts Views on Vision4Press platform.
Data correspond to usage on the plateform after 2015. The current usage metrics is available 48-96 hours after online publication and is updated daily on week days.
Initial download of the metrics may take a while.