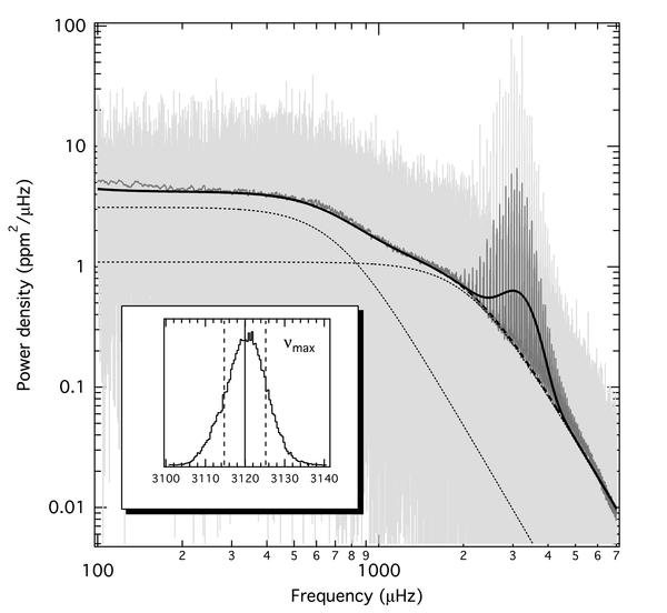
Fig. 5

Power density spectrum of a 1-year VIRGO time series (light-grey) and the corresponding global model fit (black line). The dark-grey line shows a smoothed (5 μHz boxcar filter) version from the average of nine consecutive 1-year VIRGO time series. The inset gives the probability density function for νmax with the vertical solid and dashed lines indicating the median value and the 1σ limits, respectively.
Current usage metrics show cumulative count of Article Views (full-text article views including HTML views, PDF and ePub downloads, according to the available data) and Abstracts Views on Vision4Press platform.
Data correspond to usage on the plateform after 2015. The current usage metrics is available 48-96 hours after online publication and is updated daily on week days.
Initial download of the metrics may take a while.