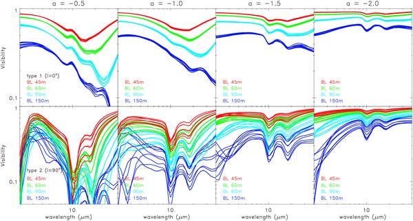
Fig. 12

Wavelength-dependence of the model visibilities for different baselines for an AGN at 15 Mpc distance and a sublimation radius (=near-IR reverberation radius) of 0.025 pc. Each row represents simulation results of one random arrangement of clouds for different radial power law index a (top: type 1 AGN at i = 0°; bottom: type 2 AGN at i = 90°) with fixed N0 = 7.5 and Rout = 150. In each panel, we show visibility curves for baseline lengths 45 m (red lines), 60 m (green lines), 90 m (light-blue lines) and 150 m (dark-blue lines). The different lines per wavelength reflect the position-angle dependence of the visibility.
Current usage metrics show cumulative count of Article Views (full-text article views including HTML views, PDF and ePub downloads, according to the available data) and Abstracts Views on Vision4Press platform.
Data correspond to usage on the plateform after 2015. The current usage metrics is available 48-96 hours after online publication and is updated daily on week days.
Initial download of the metrics may take a while.