Free Access

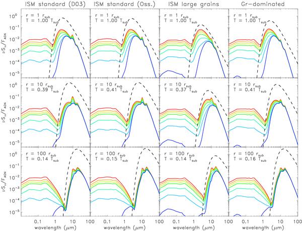
Fig. 3

thumbnail

Model source functions Sν of directly AGN-heated clouds for several different dust configurations (from left to right column: ISM standard configuration with Draine (2003) silicates, Ossenkopf et al. (1994) silicates, ISM large grains, and Graphite-dominated dust). Each row shows the emission of a cloud with τV = 50 at the given AGN distance r = rsub (top), 10rsub (middle) and 100rsub (bottom), scaled to the total incoming flux of the AGN, FAGN = Lbol/(4πr2). The corresponding hot-side temperature in units of Tsub = 1500K are also given. The various lines represent a specific phase angle, φ, of the cloud in steps of 30° (red: φ = 0°, i.e. full hot side; purple: φ = 180°, i.e. full cold side). For comparison, we overplotted the corresponding black-body emission Bν(T) with the same temperature as the hot side of the cloud at the same distance from the AGN (dashed line).

Current usage metrics show cumulative count of Article Views (full-text article views including HTML views, PDF and ePub downloads, according to the available data) and Abstracts Views on Vision4Press platform.

Data correspond to usage on the plateform after 2015. The current usage metrics is available 48-96 hours after online publication and is updated daily on week days.

Initial download of the metrics may take a while.