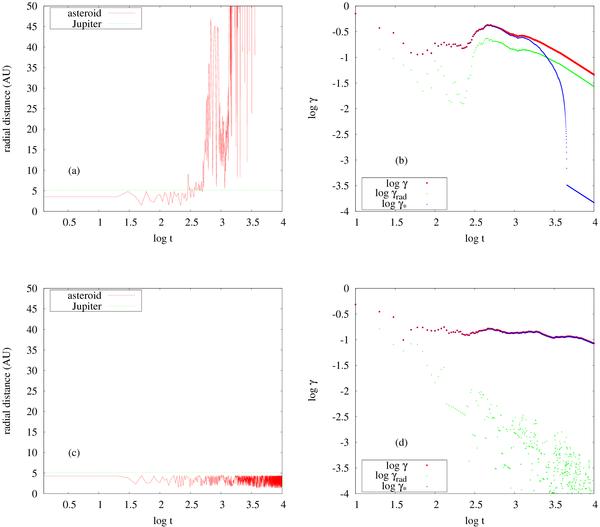
Fig. 2

Results of the simulations for two asteroids disturbed by Jupiter: Plots a)–b) are for an example of an “escaper”; Plots c)–d) are for an example of “confined chaos”. The plots in the first column show the temporal evolution of the orbital radius of each asteroid. The green line indicates the orbital radius of Jupiter. Plots in the second column show the Lyapunov characteristic exponent of the each asteroid. Three computations are shown: (1) the complete LCE, given by γ (in red); (2) the contribution of the radial component, given by γrad (in green); and (3) the LCE without the radial contribution, given by γ∗ (in blue).
Current usage metrics show cumulative count of Article Views (full-text article views including HTML views, PDF and ePub downloads, according to the available data) and Abstracts Views on Vision4Press platform.
Data correspond to usage on the plateform after 2015. The current usage metrics is available 48-96 hours after online publication and is updated daily on week days.
Initial download of the metrics may take a while.