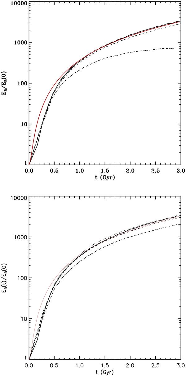
Fig. 4

Total magnetic energy amplification as a function of time (a) for different values of the initial magnetic field (upper panel) BIGM = 10-7 μG (solid), BIGM = 10-6 μG (dotted), BIGM = 10-5 μG (dashed) and BIGM = 10-4 μG (dash-dotted), and (b) for different values of the Lagrangian refinement criterion with BIGM = 10-7 μG (bottom panel): mres = m0 is the reference run (solid line), mres = 5 × m0 (dotted line), mres = 25 × m0 (dashed line) and mres = 100 × m0 (dash-dotted line). In each plot, the simple Ω amplification model is overplotted in red for ΩG = 19 Gyr-1 as average angular velocity.
Current usage metrics show cumulative count of Article Views (full-text article views including HTML views, PDF and ePub downloads, according to the available data) and Abstracts Views on Vision4Press platform.
Data correspond to usage on the plateform after 2015. The current usage metrics is available 48-96 hours after online publication and is updated daily on week days.
Initial download of the metrics may take a while.