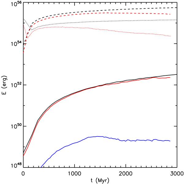
Fig. 5

Evolution of the magnetic energy (solid), thermal energy (dotted), and kinetic energy (dashed) for the simulation without star-formation (black) and with SN feedback (red). The initial magnetic field is in both cases BIGM = 10-5 μG, and the energies are computed in a small cube of 15 kpc size around the galaxy. The blue solid line is the magnetic energy for the magnetic seeding simulation (see Appendix).
Current usage metrics show cumulative count of Article Views (full-text article views including HTML views, PDF and ePub downloads, according to the available data) and Abstracts Views on Vision4Press platform.
Data correspond to usage on the plateform after 2015. The current usage metrics is available 48-96 hours after online publication and is updated daily on week days.
Initial download of the metrics may take a while.