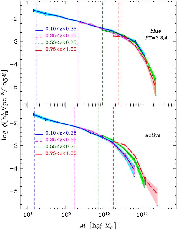
Fig. 14

GSMFs for LTGs using two classification schemes. Upper
panel: blue galaxies ( = 2, 3, 4), and lower
panel: active galaxies
(log (SSFR/Gyr-1) > −1), as defined in
Sect. 4. Only
1/Vmax determinations have been plotted, with their
uncertainties. Different lines and colours refer to different redshift range
(see legend).
Current usage metrics show cumulative count of Article Views (full-text article views including HTML views, PDF and ePub downloads, according to the available data) and Abstracts Views on Vision4Press platform.
Data correspond to usage on the plateform after 2015. The current usage metrics is available 48-96 hours after online publication and is updated daily on week days.
Initial download of the metrics may take a while.