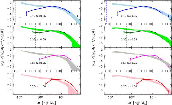
Fig. 20

Comparison between observed GSMFs (lines and points) with the regions covered by the predictions (shaded colour regions) of three semi-analytical models (Morgana, WDL08, and S08 from Fontanot et al. 2009), at increasing redshifts (from top to bottom panels). Left panels: original GSMFs from SAM. Right panels: SAM GSMFs take into account 0.25 dex of uncertainties in the ℳ derivation.
Current usage metrics show cumulative count of Article Views (full-text article views including HTML views, PDF and ePub downloads, according to the available data) and Abstracts Views on Vision4Press platform.
Data correspond to usage on the plateform after 2015. The current usage metrics is available 48-96 hours after online publication and is updated daily on week days.
Initial download of the metrics may take a while.