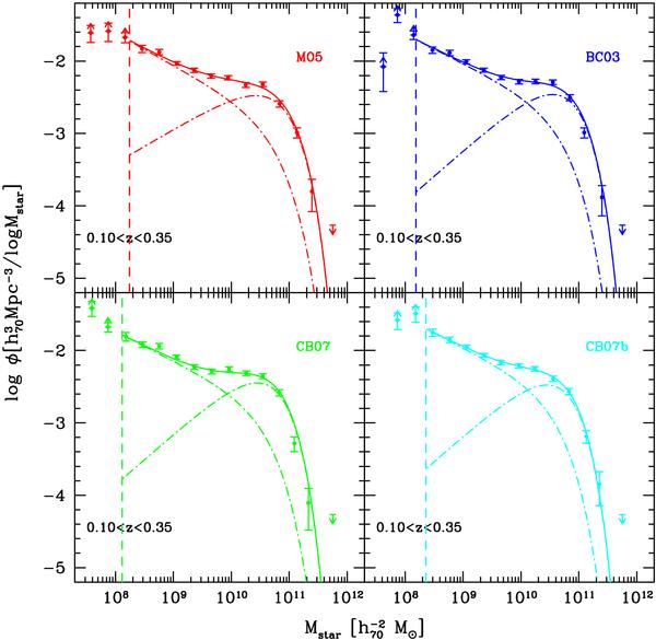
Fig. 5

Global GSMF in the first redshift bin using different SFHs and population synthesis models to derive the stellar masses (BC03, M05, CB07, CB07b=CB07+ secondary burst). Points and lines have the same meaning as in Fig. 4. The dot-dashed lines represent the 2 Schechter components: they intersect around ℳ ≃ 1010 ℳ⊙. (A color version of this figure is available in the online version of the article.)
Current usage metrics show cumulative count of Article Views (full-text article views including HTML views, PDF and ePub downloads, according to the available data) and Abstracts Views on Vision4Press platform.
Data correspond to usage on the plateform after 2015. The current usage metrics is available 48-96 hours after online publication and is updated daily on week days.
Initial download of the metrics may take a while.