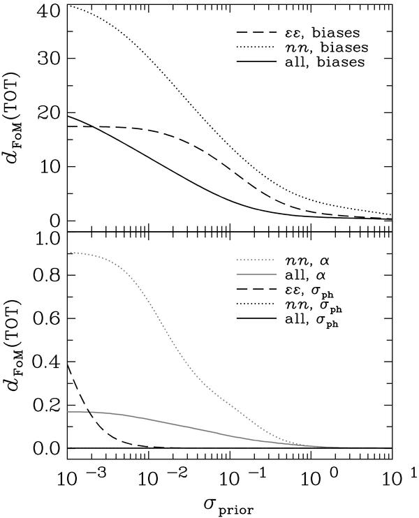
Fig. 6

The difference dFOM between the FoMTOT for a given prior value σprior and the fiducial FoMTOT, obtained for the least stringent, default values of the different priors we apply. Upper panel: effect of tightening the priors on the nuisance parameters in the bias terms for ϵϵ (dashed line), nn (dotted line), and all (solid) correlations. Lower panel: effect of tightening the priors on the slopes of the luminosity function α(i), and for the prior on the uncertainty of σph. Grey curves correspond to priors on α(i), black curves to those on σph. Except for the ϵϵ case the latter remain very close to zero. As above, ϵϵ correlations are shown as dashed lines, nn correlations as dotted lines, and all correlations as solid lines. Note that ϵϵ correlations do not depend on the α(i). For all curves, the remaining priors are each set to their default values of 50 for the bias term parameters, and 10 for priors on both α(i) and σph.
Current usage metrics show cumulative count of Article Views (full-text article views including HTML views, PDF and ePub downloads, according to the available data) and Abstracts Views on Vision4Press platform.
Data correspond to usage on the plateform after 2015. The current usage metrics is available 48-96 hours after online publication and is updated daily on week days.
Initial download of the metrics may take a while.