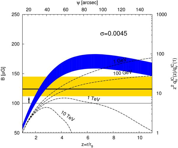
Fig. 3

The black horizontal line and the yellow shaded region mark the volume averaged magnetic field and its uncertainties as derived from the constant B-field model (see Eq. (5)). The magnetic field configuration as derived from the MHD solution of the downstream flow (KC84) is shown for σ = 0.0045 for a shock distance between 0.13 pc < rs < 0.15 pc, where rs = 0.13 pc results in the upper and rs = 0.15 pc in the lower boundary, respectively. The dashed-dotted lines mark the relative emissivity (normalized to z = 1) at specific energies. The horizontal line at 100 μG indicates a lower limit on the B-field, see Sect. 3.
Current usage metrics show cumulative count of Article Views (full-text article views including HTML views, PDF and ePub downloads, according to the available data) and Abstracts Views on Vision4Press platform.
Data correspond to usage on the plateform after 2015. The current usage metrics is available 48-96 hours after online publication and is updated daily on week days.
Initial download of the metrics may take a while.