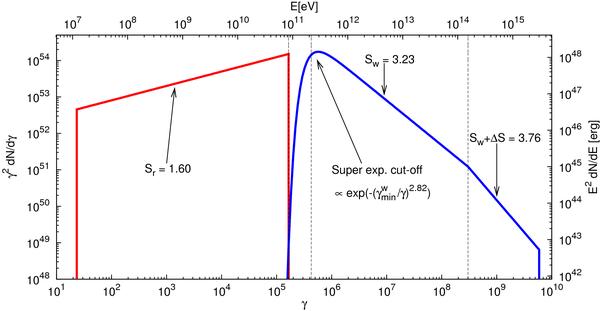
Fig. 4

The two components of the electron spectrum used to calculate the broad band emission of the Crab Nebula in the constant B-field model. Red solid line: radio electrons; blue solid line: wind electrons. The black dashed lines indicate the values fot the minimum, maximum, and break energies.
Current usage metrics show cumulative count of Article Views (full-text article views including HTML views, PDF and ePub downloads, according to the available data) and Abstracts Views on Vision4Press platform.
Data correspond to usage on the plateform after 2015. The current usage metrics is available 48-96 hours after online publication and is updated daily on week days.
Initial download of the metrics may take a while.