Free Access
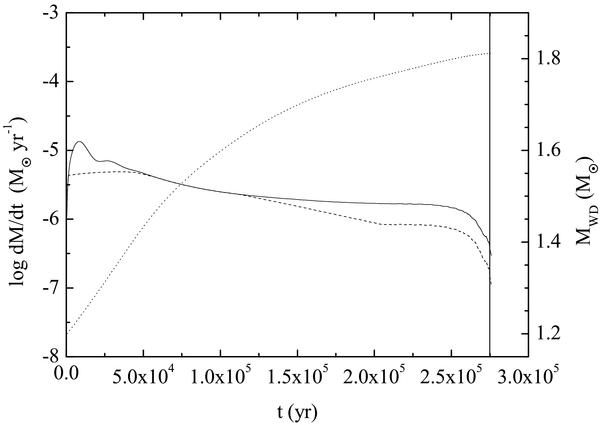
Fig. 2

Evolution tracks of WD binary with MHe,i = 1.8 M⊙, MWD,i = 1.2 M⊙, and log(Porb,i / day) = − 1.2. The solid, dashed, and dotted curves represent the evolution of ṀHe, ṀWD, and MWD, respectively. The solid vertical line indicates the position where the WD is expected to explode as a SN Ia.
Current usage metrics show cumulative count of Article Views (full-text article views including HTML views, PDF and ePub downloads, according to the available data) and Abstracts Views on Vision4Press platform.
Data correspond to usage on the plateform after 2015. The current usage metrics is available 48-96 hours after online publication and is updated daily on week days.
Initial download of the metrics may take a while.