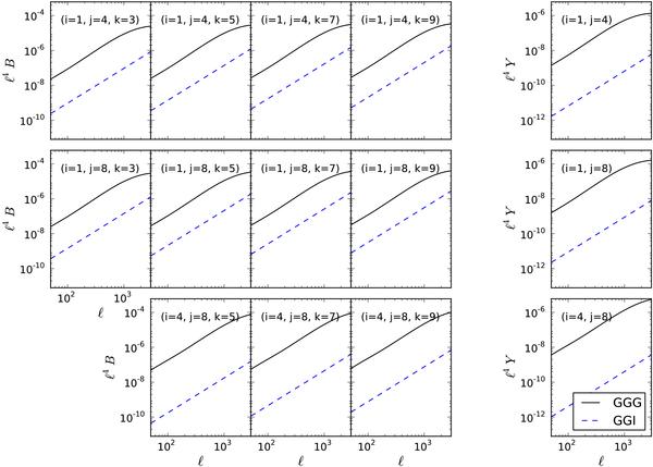
Fig. 3

Tomographic convergence bispectrum (GGG, solid curves) and intrinsic-shear alignment (GGI, dashed curves) for equilateral triangles are plotted against triangle side length. Measures both before (left panel) and after (right panel) applying the nulling technique (B and Y respectively) are shown for three typical redshift bin (i,j) combinations in the three rows.
Current usage metrics show cumulative count of Article Views (full-text article views including HTML views, PDF and ePub downloads, according to the available data) and Abstracts Views on Vision4Press platform.
Data correspond to usage on the plateform after 2015. The current usage metrics is available 48-96 hours after online publication and is updated daily on week days.
Initial download of the metrics may take a while.